Рубликатор

 



























Все о псориазе



Наталия Ильина, Захар Кондрашов, Николай Скрипник

DC/DC- и AC/DC-преобразователи фирмы M+R Multitronik GmbH в России

DC/DC- и AC/DC-преобразователи широко используются в средствах связи и ЭВМ, электро- и теплоэнергетике, в индустриальных автоматизированных системах управления, в специальной медицинской и авиационно-космической технике. Рост потребности в таких преобразователях составляет в среднем 12…15 % в год.

После снятия ограничений на поставку в Россию импортных комплектующих на отечественный рынок вышли многие иностранные фирмы-производители источников вторичного электропитания. Наличие их продукции, а также продукции отечественных производителей предоставляет инженерам-разработчикам электронной техники широкие возможности по выбору изделия, оптимального для каждого конкретного случая. Важную роль в этом выборе играет совокупность показателей «качество–количество–цена–сроки поставки». Чем больше производителей предлагают свои источники, тем выгоднее для потребителя оказывается совокупность этих показателей.

    Несомненный интерес для разработчиков и производителей электронной техники представляет продукция германской фирмы M+R Multitronik GmbH. Изделия этой фирмы пользуются успехом на мировом рынке, но в России известны мало.

Фирма M+R Multitronik GmbH основана в 1978 г. Ее продукция включает более 1000 наименований DC/DC- и AC/DC-преобразователей и модулей питания. В 1997 г. она получила сертификат ISO 9000.

DC/DC-преобразователи

DC/DC-преобразователи производства фирмы M+R Multitronik GmbH выпускаются в стандартных пластмассовых или металлических корпусах с возможностью монтажа как в отверстия, так и на поверхность. Во многих случаях они взаимозаменяемы с преобразователями других фирм. DC/DC преобразователи охватывают диапазон мощностей от 0,25 до 150 Вт, работают при изменении входного напряжения в пределах ±5 %, ±10 %, 2:1, 4:1. Преобразователи выпускаются с одним, двумя или тремя выходными напряжениями от 3,3 до 18 В. Точность установки выходного напряжение — 1…5 %. Напряжение изоляции вход/выход составляет для различных серий от 500 до 4000 В (DC). Преобразователи выпускаются для работы в различных диапазонах рабочих температур, например, 0…+70 °С, –25…+70 °С, –25…+71 °С, –25…+85 °С, –40…+85 °С. При этом диапазон температур хранения составляет от –55 до +100 °С и от –55 до +125 °С. Температурный коэффициент — ±(0,02…0,03) %/°С. Уровень шума и пульсаций выходного напряжения составляет не более 50…100 мВ на частотах до 20 МГц. КПД доходит до 85 %, наработка на отказ — до 5 млн ч. Некоторые серии преобразователей допускают работу в режиме дистанционного управления.

Рис. 1.

Рис. 1.

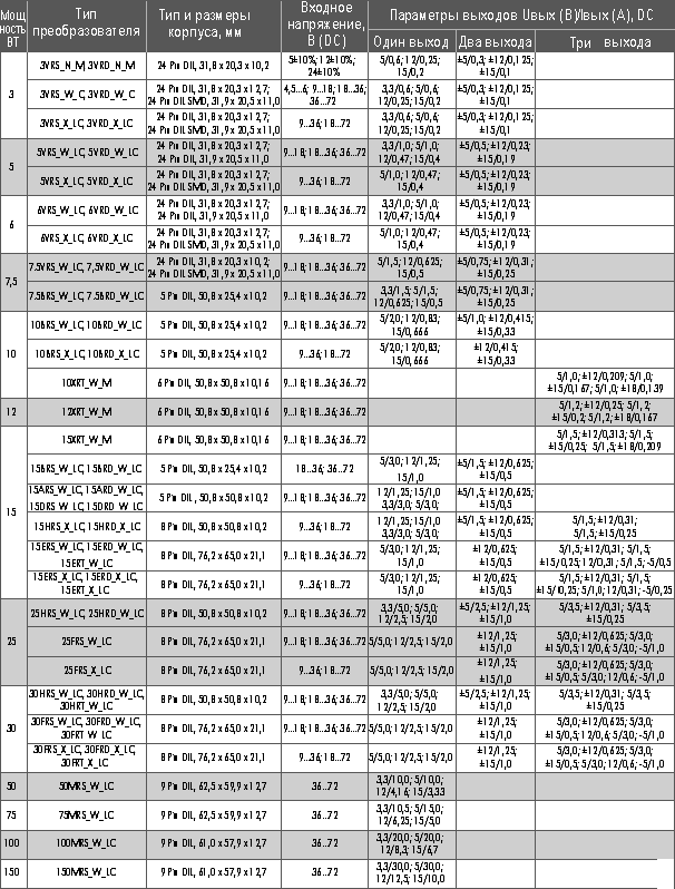
Таблица 1

В табл. 1 приведены основные электрические характеристики DC/DC-преобразователей фирмы M+R Multitronik GmbH. Они позволяют оценить возможности преобразователей обеспечить требуемые мощности при заданных входных и выходных напряжениях (табл. 1).

Условные обозначения DC/DC-преобразователей фирмы M+R Multitronik GmbH приведены на рис.1, технические характеристики смотри в табл. 2. Если задать требования по выходной мощности, величине входного и выходного напряжения, то можно определить серию необходимого DC/DC-преобразователя.

Таблица 2

Таблица 2 (продолжение)

AC/DC-преобразователи

AC/DC-преобразователи фирмы M+R Multitronik GmbH выпускаются в открытых или закрытых корпусах для монтажа на плату. Они охватывают диапазон мощностей от 5 до 30 Вт. Входное напряжение от 85 до 264 В (AC) при частоте сети 47…63 Гц (для преобразователей с открытым корпусом) или от 90 до 260 В (AC) при частоте сети 47…440 Гц (для преобразователей с закрытым корпусом). Изделия выпускаются с одним, двумя или тремя выходными напряжениями от 3,3 до 24 В. Точность установки выходного напряжения — ±(1…2) %. Напряжение изоляции вход/выход составляет 3000 В (АС). КПД достигает 82 %.

Диапазон рабочих температур для преобразователей с открытым корпусом лежит в пределах 0…+45 °С при температуре хранения –40…+100 °С. Для преобразователей с закрытым корпусом диапазон рабочих температур составляет –25…+71 °С, при температуре хранения –45…+85 °С. Температурный коэффициент — ±(0,02…0,05) %/°С. Уровень шума и пульсаций выходного напряжения составляет 0,05 % ±50 мВ на частотах до 20 МГц. Наработка на отказ — более 400 тыс. ч.

Условные обозначения AC/DC-преобразователей фирмы M+R Multitronik GmbH даны на рис. 2. В табл. 3 и 4 приведены их основные технические характеристики. По требуемой величине мощности и необходимым значениям выходного напряжения можно выбрать тип преобразователя, удовлетворяющего заданным требованиям.

Рис. 2.

Таблица 3

Мощность, Вт Тип преобразователя Тип и размеры корпуса, мм Входное напряжение Uвых (В)/Iвых (А) , DC
10 ACS 10 - _ Открытый корпус, 65 x 45 x 23 85…264 В (АС), частота сети 47…63 Гц 3,3/2,5; 5/2,0; 12/0,833; 15/0,667; 24/0,417
15 ACS 15 - _ Открытый корпус, 69,9 x 48 x 23 85…264 В (АС), частота сети 47…63 Гц 3,3/3,0; 5/3,0; 12/1,25; 15/1,0; 24/0,63
20 ACS 20 - _ Открытый корпус, 88,9 x 50,8 x 20,32 85…264 В (АС), частота сети 47…63 Гц 3,3/4,4; 5/4,4; 12/1,8; 15/1,4; 24/0,92

Таблица 4

Мощность, Вт Тип преобразователя Тип и размеры корпуса, мм Входное напряжение Параметры выходов Uвых (В)/Iвых (А) , DC
Один выход Два выхода Три выхода
5 ACS5AA - _ ACD5AA - _ 6 Pin DIL; 55,0 x 45,0 x 20,5 90…260 В (АС), частота сети 47…440 Гц 3,3/1,5; 5/1,0; 12/0,416; 15/0,333; 24/0,2 ±5/0,5; ±12/0,2; ±15/0,16 3,3/3,0; 5/3,0; 12/1,25; 15/1,0; 24/0,63
5 ACS5BA - _ 4 Pin DIL; 50,8 x 25,4 x 15,16 90…260 В (АС), частота сети 47…440 Гц 3,3/1,25; 5/1,0; 12/0,42; 15/0,333; 24/0,23 3,3/4,4; 5/4,4; 12/1,8; 15/1,4; 24/0,92 3,3/4,4; 5/4,4; 12/1,8; 15/1,4; 24/0,92
10 ACS10AB - _ ACD10AB - _ 6 Pin DIL; 64,0 x 45,0 x 20,5 90…260 В (АС), частота сети 47…440 Гц 3,3/3,0; 5/2,0; 12/0,833; 15/0,666; 24/0,416 ±5/0,8; ±12/0,38; ±15/0,3 3,3/4,4; 5/4,4; 12/1,8; 15/1,4; 24/0,92
15 ACS15AC - _ ACD15AC - _ ACT15AC - _ 8 Pin DIL; 74,0 x 54,0 x 22,0 90…260 В (АС), частота сети 47…440 Гц 5/3,0; 12/1,25; 15/1,0; 24/0,625 ±5/1,5; ±12/1,25; ±15/0,5 5/2,0; ±12/0,2; 5/2,0; ±15/0,15
30 ACS30AD - _ ACD30AD - _ ACT30AD - _ 7 Pin DIL; 88,9 x 63,5 x 24,9 90…260 В (АС), частота сети 47…440 Гц 5/6,0; 12/2,5; 15/2,0; 24/1,25 ±5/3,0; ±12/1,3; ±15/1,0 5/3,0; ±12/0,63; 5/3,0; ±15/0,5

Фирма M+R Multitronik GmbH постоянно работает над улучшением качества и надежности своей продукции, снижением ее стоимости, расширением номенклатуры изделий. Более подробную информацию о DC/DC- и AC/DC-преобразователях фирмы M+R Multitronik GmbH можно получить на сайтах www.pit.spb.ru и www.multitronik.com.

semicond@pit.spb.ru


Статьи по: ARM PIC AVR MSP430, DSP, RF компоненты, Преобразование и коммутация речевых сигналов, Аналоговая техника, ADC, DAC, PLD, FPGA, MOSFET, IGBT, Дискретные полупрoводниковые приборы. Sensor, Проектирование и технология, LCD, LCM, LED. Оптоэлектроника и ВОЛС, Дистрибуция электронных компонентов, Оборудование и измерительная техника, Пассивные элементы и коммутационные устройства, Системы идентификации и защиты информации, Корпуса, Печатные платы

Design by GAW.RU