Николай Ракович
Окончание. Начало в № 5’2001
Однокристальная система записи,
воспроизведения и обработки аналогового
сигнала для мобильных устройств связи (ISD5008)
Аналоговая часть прибора
Аналоговая часть микросхемы была спроектирована так, чтобы обеспечить максимальную гибкость и простоту интеграции с любой мобильной системой. Для работы с сигналами имеется три входа (микрофонный MIC+/–, внешнего устройства AUXIN и аналоговый ANAIN) и три выхода (аналоговый ANAOUT+/–, выход на динамик SP+/–, выход на внешнее устройство AUXOUT). В состав аналоговой части входит также несколько блоков аналоговой обработки, которые подключаются с помощью программируемых мультиплексоров. Для получения высококачественного сигнала и снижения искажений и нелинейности на кристалле реализована полная обработка дифференциального сигнала, а также используется смещение затвора с накачкой.
Для этого на кристалле реализованы следующие блоки аналоговой обработки:
- АРУ (AGC) сигнала, позволяющая получить выходной сигнал с максимальным для матрицы разрешением при изменении входного сигнала от 3 до 300 мВ;
- полевые транзисторы с переменным напряжением управления на затворе для регулировки коэффициента усиления;
- суммирующие усилители, с помощью которых производится микширование сигналов для получения полнодуплексной записи или воспроизведения;
- блок задания частоты выборки на четыре установки, выбираемые пользователем, для задания частоты выборки 4, 5,3, 6,4 или 8 кГц;
- фильтр нижних частот. Представляет собой фильтр Чебышева 5-го порядка и использующийся как фильтр защиты от наложения спектра в режиме записи и как сглаживающий фильтр при воспроизведении. Использование КМОП-резисторов позволяет точно устанавливать частоту среза для диапазона частоты выборки (4…8 кГц);
- регулировка громкости, позволяющая изменять амплитуду сигнала за 8 шагов с дискретом 4 дБ;
- согласующий выходной усилитель ANAOUT (согласованный выход для высококачественного сигнала обеспечивает связь с базовым блоком мобильного устройства);
- усилитель мощности низкой частоты (23 мВт) для работы на 8-омный динамик с размахом выходного сигнала, равным напряжению питания;
- входные усилители с переменным коэффициентом усиления для формирования необходимого уровня сигнала со входов AUXIN и ANAIN.
Тракт записи
Источником сигнала для основного аналогового тракта записи может быть:
- микрофонный вход, на который подаются сигналы с амплитудой от 3 до 300 мВ, которые затем поступают на усилитель с переменным коэффициентом усиления для формирования сигнала требуемого уровня;
- вход AUXIN (используется для связи c автомобильным комплектом мобильного устройства связи), сигнал с которого поступает на усилитель с переменным коэффициентом усиления, устанавливаемым пользователем;
- вход ANAIN (используется для связи с базовым блоком мобильной системы), сигнал с которого, пройдя суммирующие усилители, где происходит микширование нескольких сигналов, поступает на высококачественные ключи и мультиплексоры и далее на фильтр нижних частот (фильтр Чебышева 5-го порядка). Частота отсечки фильтра определяет частоту выборки, что позволяет пользователю изменять время выборки.
После этого сигнал программируется и заносится в энергонезависимую память.
Тракт воспроизведения
Для воспроизведения сигнала, хранящегося в памяти, или сигнала реального времени существует несколько выходов. Сигнал, считанный из памяти, снова проходит через фильтр, аналоговые ключи и суммирующие усилители, где происходит микширование. Кроме того, эти сигналы могут пройти через схему регулировки громкости. Выходами являются:
- ANAOUT+/–, который используется в сквозном режиме, когда любой сигнал со входа проходит на выход без запоминания или обработки и может работать на дифференциальную нагрузку 5 кОм;
- AUXOUT, используемый для связи с автомобильным комплектом мобильного устройства и способный работать на нагрузку 5 кОм;
- SP+/– УНЧ (Рвых = 23 мВт) для подключения нагрузки — динамика сопротивлением 8 Ом.
Система позволяет поддерживать несколько режимов работы, описанных ниже, которые активируются командами интерфейса SPI.
- Сквозной режим. В этом режиме пользователь связывается с удаленным абонентом без записи разговора или какой-либо обработки сигнала. Сигнал от пользователя (например, голос) принимается микрофоном (входы MIC+ и MIC–), проходит через усилитель с коэффициентом усиления 6 дБ и поступает на выходы ANAOUT+
и ANAOUT–. Аналогичным образом сигнал от удаленного абонента поступает на вход ANAIN, проходит через усилитель с переменным коэффициентом усиления, мультиплексор и поступает на усилитель низкой частоты и динамик.
- Режим записи. В этом режиме сигнал от пользователя с микрофона (входы MIC+ и MIC–) поступает на схему АРУ (AGC).
Затем сигнал проходит через входной
мультиплексор, суммирующий усилитель, фильтр-мультиплексор, низкочастотный фильтр защиты от наложения спектра, сглаживающий сигнал, второй суммирующий усилитель и заносится в энергонезависимую память. Сигнал, поступивший со входа AUXIN, может быть также записан в память. Если сигнал от удаленного абонента поступает со входа ANAIN, то он может быть записан непосредственно во время разговора.
- Режим воспроизведения исходящего сообщения (OGM). Данный режим используется для воспроизведения исходящего сообщения в устройстве мобильной связи или в автоответчике. Сигнал (сообщение) выбирается из матрицы памяти, проходит через фильтр-мультиплексор, ФНЧ, второй суммирующий усилитель, выходной мультиплексор, выходной усилитель и поступает на базовый блок.
- Режим дуплексной записи. В этом режиме возможна запись разговора как пользователя, так и абонента. Тракт передачи аналогового сигнала, идущий от пользователя к удаленному абоненту, включает в себя 6 дБ-усилитель, мультиплексор аналогового выхода, выходной усилитель аналогового сигнала, второй суммирующий усилитель, усилитель АРУ и входной мультиплексор. Сигнал от удаленного абонента поступает на вход ANAIN и через усилитель входного аналогового сигнала, выходной мультиплексор и усилитель НЧ поступает на динамик. Кроме того, аналоговый сигнал удаленного абонента подается на первый суммирующий усилитель, где происходит микширование двух сигналов. Пройдя через фильтр, смешанный сигнал записывается в память.
- Режим дуплексного воспроизведения. Этот режим применяется для воспроизведения записанного сообщения для удаленного абонента во время переговоров пользователя с ним. Это достигается микшированием сигнала пользователя, поступающего с микрофона, с сообщением, считанным из матрицы памяти, и передачей этого сообщения удаленному абоненту. Сигнал от пользователя, пройдя микрофон, усилитель АРУ и входной мультиплексор, поступает на первый суммирующий усилитель. Выбранное из памяти сообщение, пройдя через фильтр и фильтр-мультиплексор, также подается на первый суммирующий усилитель, где происходит смешивание сигналов. Результирующий сигнал через выходной мультиплексор аналогового
сигнала и выходной усилитель проходит
на аналоговые выходы ANAOUT+ и ANAOUT–. Второй тракт прохождения сигнала включает смешение аналогового сигнала от удаленного абонента с сообщением, хранящимся в памяти, и передачей
микшированного сигнала пользователю.
В этом случае аналоговый сигнал удаленного пользователя поступает на вход ANAIN, усиливается, во втором суммирующем усилителе микшируется с сообщением из памяти, проходит через схему регулировки громкости, выходной мультиплексор, УНЧ и поступает на динамик.
- Режим симплексного воспроизведения. Данный режим работы аналогичен дуплексному режиму воспроизведения, за исключением того, что только пользователь может слышать записанное в памяти сообщение при разговоре с удаленным абонентом. Удаленный абонент этого сообщения не слышит. Режим симплексного воспроизведения используется в случае, когда пользователь хочет исправить и воспроизвести для удаленного абонента только одно сообщение, в то время как он прослушивает остальные сообщения. Данный режим может применяться и в тех ситуациях, когда в разговоре с абонентом возникает пауза и пользователь может прослушать сообщения. Тракт сигнала пользователя: микрофонный вход (вход AUXIN), усилитель, мультиплексор аналогового выхода. Тракт прохождения сигнала удаленного абонента аналогичен тракту в сквозном режиме.
- Режим голосового пейджера. Этот режим применяется в тех случаях, когда в системе мобильной связи реализована функция голосового пейджера. Цифровая информация принимается пейджером, который с помощью цифро-аналогового преобразователя преобразует ее в аналоговый сигнал. Этот сигнал со входа ANAIN проходит через усилитель с переменным коэффициентом, фильтр, выходной мультиплексор и через УНЧ поступает на динамик.
- Встроенная система записи и воспроизведения дает возможность гибкого управления работой аналоговых трактов в устройствах дуплексной связи. Она разработана для формирования интерфейса между пользователем (микрофон и динамик) и блоками дальнейшей обработки сигналов (базовый блок или автомобильный адаптер). Управление обоими потоками сигналов (входящими и исходящими) позволяет выполнять такие функции, как дуплексная запись и воспроизведение, голосовая почта, запись в память и т. д. Гибкость конфигурирования входа-выхода позволяет рассматриваемой ИС работать с большим числом источников сигнала и систем обработки.
Набор команд. Чтобы обеспечить работу системы с микроконтроллером, в ней используется интерфейс SPI с «интеллектуальным» набором команд. Этот набор команд разработан таким образом, чтобы обеспечить быстрое выполнение часто используемых операций, таких как запись, воспроизведение или работа с сообщениями. Необходимо отметить, что конфигурация тракта аналогового сигнала выполняется самим пользователем через 32-разрядный регистр конфигурации, где устанавливаются параметры мультиплексора, частота выборки, а также есть возможность отключения неиспользуемых блоков для снижения энергопотребления.
Надежность многоуровневой аналоговой памяти определяется не только требованиями к обычным КМОП-приборам и флэш-памяти (хранение данных, длительность цикла, сбои при чтении/записи). В отличие от других типов энергонезависимой памяти, многоуровневая аналоговая память чувствительна к малым изменениям заряда. Изменение заряда (снижение или рост) может быть вызвано электрическими полями и током, возникающими при записи или чтении соответствующих элементов памяти, или утечками через оксидный изолятор. Система должна сохранять голосовое сообщение без искажений в течение 10 лет и обеспечивать 50 тысяч циклов записи без каких-либо сбоев. Чтобы обеспечить такую надежность, работа памяти была тщательно исследована и оптимизирована. Кроме того, была произведена точная оценка надежности диэлектриков и оптимизированных процессов.
Рис.12. Зависимость напряжения на выходе элемента памяти от числа циклов программирования и стирания (для четырех элементов, один миллион циклов)
Рабочий цикл и долговечность
Важнейшие характеристики рабочего цикла представлены ниже. На рис. 12 показано распределение напряжения Vsf после 0, 5 тыс.,
25 тыс. и 50 тыс. циклов программирования/ стирания для 1 млн элементов.
Рис.13. Зависимость напряжения туннельного перехода от времени, снятая на тестовой структуре для пяти различных уровней воздействия (5 тысяч элементов параллельно)
Для характеристики захвата электронов используются тестовые структуры матрицы с доступными поликремниевыми плавающими затворами. На рис. 13 показана зависимость напряжения туннельного перехода как функции времени, снятая на тестовой структуре. Смещение напряжения вызвано захватом электронов в слое оксида, обеспечивающем туннелирование электронов, и является функцией интегральной плотности потока. Смещение кривой I-V слоя оксида туннелирования в зависимости от интегральной плотности потока инжектированного заряда приведено на рис. 14. Зависимость напряжения, необходимого для стирания на выбранном вентиле, от числа циклов записи и стирания показана на рис. 15.
Рис.14. Смещение кривой I-V слоя оксида туннелирования в зависимости от интегральной плотности потока инжектированного заряда
Рис.15. Зависимость напряжения, необходимое для стирания на выбранном вентиле, от числа циклов записи и стирания
Критерий качества звукового сигнала
Оценка качества записи и воспроизведения звукового сигнала в многоуровневой аналоговой памяти производится по двум параметрам: коэффициенту нелинейных искажений (THD) и отношению полного сигнала к полному уровню помех (SINAD).
Коэффициент нелинейных искажений (THD — Total Harmonic Distortion) представляет собой отношение мощности основного тона к мощности всех гармоник и обычно измеряется в процентах. Требования ISD допускают, что коэффициент нелинейных искажений не должен превышать 2 %. Однако проведенные измерения при квалификационных тестах показали, что для рассматриваемой системы этот показатель не превышал 0,5 %.
Параметр SINAD есть отношение суммы мощностей сигнала, шума и искажений к сумме мощностей шума и искажений и измеряется в децибелах. В соответствии с требованиями ISD чистота сигнала записанного сообщения должна быть не хуже 32 дБ.
Для оценки качества рассматриваемой системы в табл. 3 приведены результаты квалификационных испытаний. При этом было измерено снижение параметра SINAD.
Таблица 3. Результаты квалификационных тестов системы
Вид теста |
Условия проведения |
Результаты |
Операционный ресурс |
Vcc = 3,3 В
при Т = 150 °С |
15 |
Срок службы |
Vcc = 3,3 В |
0/509
за 50 тысяч циклов
0/251
за 100 тысяч циклов |
Сохранение данных |
Т = 150 °С |
0/128 за 168 часов |
Программные сбои |
Vcc = 3,3 В |
0/128
за 10 тысяч циклов |
Определение параметров
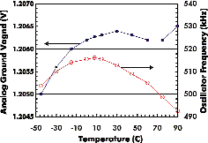
Качество аналогового сигнала при воспроизведении (по сравнению с входным сигналом) зависит от нескольких факторов [7, 8]: шумов аналогового тракта; характеристик схемы устройства выборки/хранения; точности программирования; сохранности записанного сигнала. На низких частотах четко наблюдается составляющая 1/f. В области высоких частот становится доминирующим белый шум, который затем подавляется с помощью фильтра. Выброс на частоте 40 Гц и его гармоники являются результатом времени сканирования 25 мс. Качество системы хранения аналогового сигнала может характеризоваться измерением SINAD, что показано на рис. 16 (зависимость параметра SINAD от частоты сигнала). Снижение параметра с ростом частоты вызвано наложением спектров. Зависимость SINAD от амплитуды аналогового сигнала отражена на рис. 17. Как видно, уменьшение значения SINAD при больших амплитудах сигнала является результатом искажений. Помимо этого, для схемы хранения аналогового сигнала критична зависимость опорного напряжения и частоты генератора от температуры (рис. 18).
Рис.16. Зависимость параметра SINAD от частоты сигнала при Vcc = 2,7 В, Т = 20 °С, и размахе входного сигнала 32 мВ
Рис.17. Зависимость параметра SINAD
от амплитуды входного сигнала (Vcc = 2,7 В,
Т = 20 °С, f = 1 кГц)
Рис.18. Зависимость аналогового опорного напряжения и частоты генератора от температуры (Vcc = 2,7 В)
В тестовом режиме записанный сигнал может быть считан непосредственно из памяти (~Vsf). Эффект провала напряжения на конденсаторах УВХ незначителен при рабочих температурах. Однако он может наблюдаться на Vsf при записи Vagnd при температуре 125 °С (рис. 19). На рис. 20 представлено среднеквадратичное распределение Vsf (s= ~4 мВ) для программы итерации и для одиночного импульса.
Рис.19. Зависимость напряжения Vsf от числа элементов при записи аналогового опорного напряжения (частота выборки 800 Гц, Т = 125°С)
Рис.20. Среднеквадратичное распределение Vsf (s = ~4 мВ) для программы итерации
и для одиночного импульса
Вывод
Рассмотренная однокристальная система обработки и хранения аналогового сигнала предназначена для связи с базовым блоком мобильной системы связи. Эта система обладает полным программируемым интерфейсом, что позволяет конфигурировать аналоговый тракт для получения максимальной гибкости и упрощает системную интеграцию с любыми устройствами связи. В системах мобильной связи устройство обеспечивает двустороннюю запись разговора, фильтрацию вызовов, воспроизведение или запись сообщений во время разговора, а также реализует функции голосовой памяти и автоответчика.
Основные характеристики микросхемы ISD5008 представлены в табл. 4.
Таблица 4. Параметры ИС ISD 5008
Параметр |
Значение |
Температура |
–40–90 °С |
Число эквивалентных разрядов |
8 |
Напряжение питания |
3 В ± 10 % |
Частота выборки |
4; 5,3; 6; 8 кГц |
Длительность записи |
4–8 минут |
SINAD (аналоговый тракт) |
62,5 дБ (1кГц дБм 0) |
Диапазон входного сигнала |
3–300 мВ |
Усилитель НЧ |
24 мВт, 8 Ом |
Число циклов записи |
100 000 |
Длительность хранения сообщений |
100 лет (типовое) |
Ток потребления в режиме ожидания |
< 1мкА |
Размер ИС |
4,1х7,6 мм |
Ток потребления |
< 30 мА |
Технология |
Flash CMOS |
SINAD |
42 дБ (размах 32 мВ,1кГц) |
В настоящее время выпускается микросхема ISD5016 с возможностью записи сообщений длительностью до 16 мин.
Литература
- Blyth T., et al., ISSCC Digest of technical Papers, pp. 192–193, Feb., 1991.
- Tran H., et al., ISSCC Digest of technical Papers, pp. 270–271, Feb., 1996.
- Brennan J., et al., Proc of NVSMW, pp. 41–42, August, 1998.
- Yeh B., U.S. Patent No. 5,029,130, July, 1991.
- Tsividis Y., et al., IEEE JSSC, pp. 15–30, Feb., 1986.
- Kordesh Al, et al, VLSI Technology Systems, and Applications, June 1999.
- Awsare S., et al, VLSI Technology Systems, and Applications, June 1999.
- Liu C., et al, VLSI Technology Systems, and Applications, June 1999.
Николай Ракович
|