Василий Емельянов
Микроэлектронные СВЧ-компоненты на основе высокотемпературных сверхпроводников
Данная статья содержит анализ материалов зарубежной печати и краткий обзор по компонентам из высокотемпературных сверхпроводников (ВТСП), которые находят свое применение в аппаратуре связи широкого диапазона частот: от 0,2 до 28 ГГц.
Открытие ВТСП-материалов с критическими температурами, превышающими температуру кипения жидкого азота (77,3 К), в 1986 г. породило большие надежды на быстрое внедрение их в практику и дало мощный импульс дальнейшему исследованию ВТСП. Замена гелиевых температур на азотные резко упростила и удешевила криогенную технику, функционирующую при достаточно простых и дешевых системах охлаждения, что позволяет создавать приборы с уникальными параметрами. Одной из мировых отраслей народного хозяйства, взявшей на вооружение данную технологию, является телекоммуникационная отрасль.
Концепция создания систем третьего поколения IMT-2000 является одним из наиболее грандиозных проектов конца XX века. В ходе его реализации мобильный телефон превращается в персональный компьютерный коммуникатор, с помощью которого станут возможными высокоскоростной обмен информацией, глобальный роуминг и доступ к услугам мультимедиа.
Согласно прогнозу, данному в Концепции развития рынка телекоммуникационных услуг [1], число пользователей мобильными телефонами в России к 2010 г. достигнет 22,2 млн человек. В 2000 г. зафиксирован 150 %-й прирост числа сотовых абонентов. К 2003 г. аналитиками прогнозируется двукратное, по сравнению с 2000 г., увеличение объема уcлуг сотовой связи. Предполагается, что через десятилетие доля мобильной связи в общем объеме рынка услуг связи страны составит 45 %.
Широкое использование телекоммуникационных технологий предъявляет все более жесткие требования к узлам и аппаратуре связи. И это не случайно. Чтобы обеспечить увеличивающееся число абонентов качественной и бесперебойной связью, необходимо, в силу ограниченности частотного ресурса, либо увеличить число сот, либо улучшить радиочастотные характеристики как цепей приемника (увеличить чувствительность и селективность), так и цепей передатчика радиотракта базовой приемопередающей станции (БС). Известно, что емкость (число каналов) и зона охвата приемником БС определяется, главным образом, мощностью абонентского терминала (АТ) и селективностью приемника на линии связи вверх (от АТ к БС) [2]. Селективность приемника БС может быть значительно улучшена путем использования эллиптических фильтров высшего порядка. Традиционные микрополосковые фильтры вносят большие потери в полосе пропускания полезного сигнала, проявляющиеся в ухудшении соотношения сигнал-шум (ОСШ) приемника и, следовательно, приводящие к снижению его чувствительности. Кроме того, обычные радиокомпоненты, работающие в частотном диапазоне 800…2000 МГц, не обеспечивают характеристик, требуемых для телекоммуникационных систем связи третьего поколения (f0 = 2 ГГц, Df = 5 МГц, спад АЧХ — 70 дБ/МГц, [1]). Сравнительная характеристика основных параметров традиционных и ВТСП полосовых фильтров приведена в табл. 1 [10].
Таблица 1
Тип фильтров |
Центральная
частота f0, МГц |
Полоса частот,
% от f0, МГц |
Вносимые
потери, дБ |
Затухание сигналов
в полосе заграждения, дБ |
Добротность |
ПАВ |
5…2000 |
1…10 |
0,5…30 |
40…70 |
10…100 |
Кварцевые |
0,1…1000 |
0,1…10 |
До 3 |
80..90 |
103…105 |
Микрополосковый |
До 10000 |
2…60 |
До 4 |
От 20 |
До 104 |
Цифровой |
10…300 |
|
До 0,1 |
60…80 |
103…104 |
ВТСП |
0,2…28 000 |
0,2…15 |
0,3…1,2 |
50…100 |
106…107 |
Для кардинального решения задачи необходимо использовать технологию высокотемпературных сверхпроводников (ВТСП). Кроме того, ключевые компоненты БС — элементы, изготавливаемые из тонкопленочных керамических пластин ВТСП, — позволяют обеспечить увеличение чувствительности приемника как за счет уменьшения вносимых ВТСП-элементами искажений, так и благодаря увеличению ОСШ охлаждаемых компонентов, таких как МШУ.
Рассмотрим особенности применения радиокомпонентов на основе ВТСП-керамики в телекоммуникациях, в частности в системах мобильной связи третьего поколения.
Явление сверхпроводимости было открыто более 90 лет назад, но только лишь в последние два десятилетия оно начало использоваться в крупных технических приложениях. Это связано с открытием в 1986 г. Дж. Беднорцем и К. Мюллером нового класса металло-оксидных высокотемпературных сверхпроводников [3]. Современные ВТСП способны работать при температурах до 135 К. Благодаря этому сверхпроводимость по праву занимает одно из ведущих мест в числе важнейших критических технологий, играющих принципиальную роль в развитии военного и технологического потенциала страны.
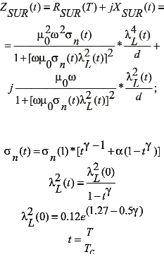
Широкие перспективы применения сверхпроводников в компонентах СВЧ-диапазона объясняются возможностью получения тонких пленок ВТСП-керамики на монокристаллических подложках. Как правило, к основным параметрам ВТСП-пленок относят удельное сопротивление и магнитную восприимчивость. При описании поведения пленок на высоких частотах используют такой параметр, как поверхностное сопротивление. Согласно феноменологической модели, для описания поверхностный импеданс ВТСП-керамики в сверхпроводящем состоянии имеет следующий вид [8]:

где lL — лондоновская глубина проникновения, ограничивающая область протекания тока сверхпроводимости и магнитного поля;
lL(0) — лондоновская глубина проникновения при T=0;
TC — температура перехода ВТСП в нормальное (несверхпроводящее) состояние);
sn(1) — проводимость основных носителей заряда (N электронов) при температуре перехода TC;
a — параметр остаточного сопротивления, определяет предел поверхностного сопротивления при низких температурах;
g — параметр, характеризующий качество пленки (1,5…2,5);
d — толщина ВТСП-пленки;
m0 — магнитная постоянная;
w — круговая частота.
Параметр модели g является показателем качества пленки: чем g выше, тем ниже поверхностное сопротивление. Кроме того, значение g в экспоненте отвечает за температурную зависимость lL и определяет крутизну температурной зависимости поверхностного сопротивления в точке перехода [8].
Поскольку активное поверхностное сопротивление пропорционально квадрату частоты, то ВТСП-материалы сохраняют свое преимущество до частот 100…200 ГГц. Это происходит за счет того, что начальное значение поверхностного сопротивления (на постоянном токе) у ВТСП-материалов на несколько порядков ниже, чем у металлов, что позволяет создавать компактные линии передачи СВЧ-сигналов. Активная составляющая поверхностного сопротивления определяет величину добротности ВТСП-резонатора, а реактивная — чувствительность прибора к температурным колебаниям частоты резонатора и имеет значение для долговременной стабильности.
У пленок YBa2Cu3O7-X, вызывающих наибольший практический интерес, критическая температура перехода лежит в диапазоне 80…125 К.
Для получения тонких пленок ВТСП-керамики технологами применяются следующие методы напыления на подложку:
лазерное и электронно-лучевое испарение;
химическое осаждение из газовой фазы;
прямое и реактивное катодное распыление;
молекулярно-лучевая эпитаксия.
Для создания пленок YBa2Cu3O7-X в основном используют первый метод.
Лазерное испарение широко применяется при нанесении ВТСП-пленок. Его главное достоинство — возможность одинаково испарять все химические элементы, содержащиеся в мишени. При правильном подборе температуры и давления происходит послойный рост ВТСП-пленки с необходимой структурной фазой. С помощью этого метода выращиваются наиболее совершенные пленки YBa2Cu3O7-X керамики.
Магнетронное распыление позволяет получать в одну стадию пленки YBa2Cu3O7-X, по характеристикам не уступающие выращенным методом лазерного испарения и при этом имеющие более однородную толщину и более гладкую поверхность. При магнетронном распылении состав пленок, как правило, соответствует составу мишеней, но при использовании оксидных мишеней для предотвращения дефицита кислорода в растущей пленке его подают в рабочую камеру.
Как и при лазерном испарении, в результате образования плазмы возникают возбужденные атомы и ионы что в принципе, позволяет выращивать ВТСП-пленки в одну стадию при невысоких температурах. Однако, если подложка расположена близко к мишени, а давление среды недостаточно, она подвергается интенсивной бомбардировке отрицательными ионами кислорода, которые разрушают структуру растущей пленки.
ВТСП-пленки наносятся на подложку, характеристики которой влияют на нее. Основные требования к подложке: среднее значение диэлектрической проницаемости eі25 и наличие малых диэлектрических потерь (tgdЈ10-4). Это необходимо, чтобы пленки были химически инертными и имели гладкую поверхность.
В настоящее время вышеперечисленным требованиям полностью удовлетворяют подложки из LaAlO3. Благодаря высокой диэлектрической проницаемости (e»23) такие подложки обладают уникальными возможностями с точки зрения миниатюризации. Кроме них применяют также подложки из MgO. К настоящему времени на этих подложках удалось с обеих сторон вырастить пленки YBa2Cu3O7-X керамики толщиной до 600 нм, которые обладают низким поверхностным сопротивлением и высокой допустимой рабочей мощностью (до 50 кВт).
Для согласования параметров кристаллических решеток и коэффициентов теплового расширения, а также предотвращения химического взаимодействия материалов ВТСП-пленки и подложки используют буферные слои.
Технологический процесс изготовления ВТСП-приборов должен обеспечивать не только создание высококачественной сверхпроводящей пленки, но и сохранение ее свойств во время последующей обработки (утонение и полировка подложки, формирование рисунка, нанесение контактных слоев и т. д.). Один из основных технологических процессов изготовления тонкопленочных ИС на ВТСП — формирование рисунка элементов и межсоединений методом сухого травления (ионной бомбардировкой и реактивным ионным травлением, импульсным лазерным распылением) или непосредственно с помощью лазера. Однако этим методам свойственны недостатки — повреждение поверхности пленки и ухудшение сверхпроводящих свойств. Альтернативой может служить жидкостное травление с использованием различных травителей, состоящих из водных растворов фосфорной, азотной или соляной кислоты. Хорошие результаты дает комбинация методов сухого и жидкостного травления. Достаточно сложная технологическая задача — создание токоведущих контактов с низким сопротивлением к ВТСП-пленкам. Один из методов, обеспечивающих поверхностное сопротивление менее 106 Ом/мм2 при температурах ниже критической, — нанесение на пленку YBa2Cu3O7-X контактных площадок из серебра методом эпитаксии, напыления или просто в виде фольги с последующим вжиганием. В процессе вжигания к таким контактным площадкам присоединяют вывод из золотой проволоки.
Применение ВТСП-элементов
в телекоммуникациях
Как уже было сказано выше, за последние пять лет произошел резкий рост популярности мобильных систем связи. Это произошло благодаря тому, что мобильные телефоны — абонентские терминалы (АТ) — стали более доступными, компактными и недорогими. Уменьшить мощность, излучаемую АТ,
а значит, уменьшить негативное воздействие на головной мозг и увеличить время работы АТ без подзарядки можно, как говорилось ранее, увеличив чувствительность и селективность приемопередающего тракта базовой станции сотовой связи (СС). Это приводит к увеличению зоны охвата БС и увеличению емкости сети, что сказывается на уменьшении стоимости инфраструктуры оператора СС. Уменьшение мощности, излучаемой АТ, можно осуществить за счет минимизации шумов входных каскадов приемника и уменьшения искажений приемопередающего тракта. Средством для решения поставленной задачи является использование элементов, выполненных на основе ВТСП: антенны, фильтры, резонаторы, мультиплексоры, смесители, линии задержки. Применение тонкопленочных ВТСП-узлов (YBa2Cu3O7-X на подложке LaAlO3, MgO или Al2O3) в трансивере приводит к увеличению чувствительности и селективности тракта приема и уменьшению комбинированных потерь и снижению побочных излучений в тракте передачи [2].
Основные требования, предъявляемые к ВТСП-компонентам, приведены в табл. 2.
Таблица 2
Пассивный компонент |
Требования к ВТСП-пленкам |
Требования к параметрам компонентов |
Резонатор |
Низкие диэлектрические потери |
Высокая добротность.
Низкий уровень фазового шума |
Полосовой фильтр |
Низкое сопротивление пленок на ВЧ и СВЧ. Возможность интеграции блока фильтров
на одной подложке |
Малые вносимые потери.
Заданная ширина полосы пропускания |
Линия задержки |
Малая площадь подложки.
Малое поверхностное сопротивление
(для миллиметрового диапазона) |
Высокие КПД и коэффициент передачи |
Пассивные приборы СВЧ-диапазона (фильтры, мультиплексоры, линии задержки, резонаторы и т. д.) являются первым практическим применением ВТСП-материалов. Поскольку пассивные компоненты составляют свыше 50 % объема как наземных радиоэлектронных систем, так и бортового аэрокосмического радиоэлектронного оборудования, то ВТСП-материалы играют важную роль в снижении их габаритов и массы. Для более полного использования достоинств высокотемпературной сверхпроводимости при разработке пассивных компонентов необходимo учитывать основные требования к ВТСП-пленкам и параметрам компонентов.
Свойства ВТСП, такие как отсутствие потерь на постоянном токе и небольшие потери на переменном, делают возможным передачу сигналов с минимальными искажениями, что позволяет использовать ВТСП-элементы в системах мобильной радиосвязи. Подтверждением этому может служить тот факт, что еще в 1994 г. ATT Bell и Illinois Superconductor Corp. разработали ВТСП-фильтры для систем сотовой телефонной связи [3]. ВТСП-фильтры для базовых станций позволяют улучшить качество звука, отсекая городской радиочастотный шум, и увеличить число каналов, поддерживаемых каждой ячейкой. После демонстрации своих изделий компании получили крупные заказы (оцениваемые в десятки миллионов долларов) на изготовление и поставку этих фильтров. Данные устройства уже используются в малошумящих приемных трактах БС сотовых систем связи GSM (0,8/0,9 ГГц) и PCS (1,8/1,9 ГГц), и сейчас рассматривается возможность их применения для систем связи третьего поколения, а также в области более высоких частот (до 27 ГГц).
Фильтры
Основные требования, предъявляемые к ВТСП-фильтрам при их использовании в мультиплексорах, в мобильных сотовых и спутниковых системах связи, могут быть сформулированы следующим образом [4]:
- центральная частота f0 = 1…4 ГГц.;
- относительная ширина полосы частот:

- передаваемая мощность — от 10 до 100 Вт;
- неравномерность АЧХ в полосе пропускания не менее 0,01 дБ.
Для полосового фильтра, полностью изготовленного на ВТСП-пленках, вносимые потери являются функцией поверхностного сопротивления пленки, тангенса угла диэлектрических потерь в подложке и соотношения мощности рассеяния в корпусе к мощности, запасенной в диэлектрике, которое зависит от конструкции фильтра. Однако в конечном счете вносимые потери определяются числом элементов фильтра и суммарным значением коэффициента передачи, которые задают полосу пропускания. Наибольшее преимущество использование ВТСП-пленок может обеспечить при создании фильтров с большим коэффициентом прямоугольности (узкая полоса пропускания, большое число звеньев и высокий коэффициент передачи).
Простейший для проектирования и изготовления тип фильтра представляет собой цепь связанных отрезков длинных линий. Длина каждого отрезка равна половине длины волны. В некоторых случаях с целью уменьшения габаритов линейные элементы фильтра изгибают, придавая им форму прямоугольной спирали. В качестве примера можно привести микрополосковый фильтр для приемного тракта системы мобильной связи, разработанный фирмой Matsushita [3]. Основные требования к фильтру — малые вносимые потери и высокая крутизна частотной характеристики, обеспечивающие очень высокую чувствительность и избирательность. Данный фильтр состоит из четырех звеньев. Он изготовлен на Tl2Ba2Ca3Cu3O7-X-пленках толщиной 700 нм, осаждаемых на обе стороны LaAlO3-подложки толщиной 0,5 мм. Для формирования рисунка использован обычный фотолитографический процесс с последующим ионно-лучевым травлением. ВТСП-пленка на обратной стороне подложки служит для заземления. Частотные характеристики: вносимые потери при температуре 77 К – 0,4 дБ, обратные потери в полосе пропускания — свыше – 10 дБ. Для сравнения, вносимые потери фильтра такой же конфигурации, в котором вместо ВТСП-пленки используется золото, составили 19 дБ (при 77 К), а его габариты вдвое больше.
Следующий пример 8-полюсный узкополосный фильтр, разработанный специалистами Denso Corporation (Japan) из YBa2Cu3O7-X-пленки на подложке из MgO [5]. Измеренная АЧХ представлена на рис. 1.
Рис. 1
Центральная частота пропускания — 1,95 ГГц. Полоса пропускания фильтра — 5 МГц. Неравномерность АЧХ в полосе пропускания — не более 0,5 дБ, вносимые затухания — около 0,35 дБ.
Фильтр [5] представляет собой цепочку из восьми связанных полуволновых резонаторов, имеющих переменный коэффициент связи:
k = f(U), k = (2,5; 1.8; 1.6; 1.4)ґ10-3. Особенность этого фильтра заключается в том, что при ширине полосы пропускания Df = 2,5 % АЧХ фильтров для различных значений добротности Q (Q = 5000, 10 000, 100 000) незначительно отличаются друг от друга. Узость полосы пропускания и высокая добротность являются преимуществом использования ВТСП-фильтров. Однако при Df = 0,25 % АЧХ-фильтров отличаются друг от друга по величине затухания полезного сигнала в полосе прозрачности: при
Q = 5000 затухание составляет –1,5 дБ, а при
Q = 100 000 вносимые потери не превышают –0,2 дБ. Таким образом, для достижения высоких характеристик добротность фильтров должна иметь значение до 100 000, в то время как у традиционных фильтров эта величина ограничена несколькими тысячами. При реализации данной конфигурации разработчики столкнулись с проблемой выбора расположения резонаторов и величины перекрестных связей между ними. Поскольку максимально узкая полоса фильтрации сигнала обеспечивается при слабой связи между резонаторами, то такая связь в простейшем случае реализуется путем их пространственного разнесения. Разнесение резонаторов, приводящее к требуемой величине связи между ними, требует увеличения размеров пластины. Для устранения этого недостатка с одновременным сохранением величины межрезонаторной связи было использовано круговое размещение резонаторов (рис. 3).
Рис. 3
Конструкция рассматриваемого фильтра [5] представляет собой планарную структуру — диск MgO (er=9,85) диаметром 5,08 см и толщиной 0,5 мм, по периметру которого расположено восемь кольцевых резонаторов со щелью, толщина нанесенной пленки из YBCO-керамики — 0,5 мкм. Углы между осями, проходящими через середину щели и центр пластины, различны и определяются коэффициентом связи между соседними резонаторами.
Рис. 2
На рис. 2 приведены АЧХ фильтра при его экранировании и без него [5]. АЧХ фильтра была снята при охлаждении до 70 К. Соединительные провода были откалиброваны при комнатной температуре, поэтому снижение потерь в кабеле при комнатной температуре и при 70 К было скорректировано в ходе эксперимента. При экранировании спад АЧХ на границе полосы пропускания составляет 0,8 МГц/30 дБ, а без него — 0,7 МГц/30 дБ. Увеличение крутизны спада АЧХ при экранировании фильтра объясняется уменьшением паразитной связи между резонаторами.
Весьма привлекательно использование электрически перестраиваемых ВТСП-фильтров для применения их в адаптивных следящих приемниках БС. Изменяя величину внешнего магнитного поля, можно осуществлять перестройку в заданном частотном диапазоне.
Специалистами Лаборатории микроволновой электроники Санкт-Петербургского электротехнического университета был разработан такой перестраиваемый ВТСП-фильтр [7]. Особенность его конструкции состоит в практическом использовании такого физического явления, как спиновые волны. Известно, что спиновые волны распространяются в монокристаллах и эпитаксиальных пленках железоиттриевого граната (ЖИГ). Ферритовая эпитаксиальная пленка ЖИГ, выращенная на подложке галлий-гадолиниевого граната в форме трапеции, непосредственно прикладывается к пленочной топологии ВТСП-структуры. Для устранения отражения спиновых волн торцы структуры имеют скосы. Перестройка осуществлялась при изменении подмагничивающего поля. Небольшое изменение поля (на 700 Эр) смещает центральную частоту на 600 МГц (рис. 8) [7]. Подмагничивание осуществляется миниатюрными электромагнитами. Вектор напряженности магнитного поля направлен параллельно поверхности пленки.
Высокая чувствительность к перестройке параметров является перспективной для построения управляемых ВТСП-фильтров ЖИГ. АЧХ фильтра сняты с помощью панорамного измерителя КСВН и представлены на рис. 4. Ограничение характеристик на уровне – 40 дБ является следствием несовершенства используемых КИП.
Рис. 4
Поскольку передаточная характеристика фильтра относительно центральной частоты не уменьшается (с точностью 0,2 дБ) и составляет ±0,25 ГГц, то это позволяет использовать данный фильтр для работы в диапазоне перестройки 3G (1927,5…2157,5 МГц) систем связи [1, 7].
Для некоторых видов радиоэлектронной аппаратуры часто необходимы блоки согласованных полосовых фильтров, которые перекрывают весь заданный диапазон частот. Одним из примеров может служить мультиплексор в центральной станции мобильной связи. Четырехканальный блок фильтров на микрополосковых линиях включает два гибридных ответвителя и два одинаковых фильтра в каждом канале. Блок с центральной частотой 4 ГГц изготовлен напылением YBa2Cu3O7-X-пленки на LaAlO3-подложку толщиной 5 мм. Максимальная неравномерность характеристики в полосе пропускания составляет всего 0,1 %, а ширина полосы пропускания каждого элемента — 50 МГц [3].
Рис. 5
Тип перестраиваемого фильтра, настройка которого осуществляется путем изменения емкости конденсатора (варактора), был также разработан в Санкт-Петербурге. Трехполюсный фильтр с центральной частотой 2 ГГц обладает 1 %-й полосой пропускания и коэффициентом перекрытия диапазона, равным 2 [9]. На рис. 5 представлена структурная схема данного фильтра. При изменении емкости конденсатора от 1,2 до 0,6 пФ происходит сдвиг центральной частоты [9]. Перестраиваемый конденсатор подключался между двумя участками микрополосковых линий L1=2 мм и L2= 12,95 мм.
Рис. 6
На рис. 6 представлен рисунок топологии фильтра при его размещении на двух дюймовой сапфировой подложке.
Рис. 7
На рис. 7 представлена АЧХ перестраиваемого фильтра при различных значениях емкости регулировочного конденсатора С: С1=1,2 пФ; С2=0,84 пФ; С3=0,6 пФ [9].
Все вышеописанные конструкции фильтров являлись исследовательскими и изготавливались в количестве не более трех экземпляров. Промышленный образец фильтра, выпускаемый серийно фирмой Superconductor Technologies Inc., представлен на рис. 8 [11].
Рис. 8
Блоки фильтров D и E соответствуют частотным диапазонам сотовой связи PCS в США: 1865…1870 и 1885…1890 МГц соответственно. Каждый фильтр представляет
собой цепочку из восьми связанных резонаторов, расположенных на MgO-подложке толщиной 0,5 мм. Измеренная АЧХ блока дуплексных фильтров представлена на рис. 9.
Рис. 9
В рабочей полосе частот передатчика базовой станции данный фильтр ослабляет сигнал более чем на 80 дБ.
Резонаторы
Это одни из наиболее важных пассивных микроэлектронных компонентов СВЧ-диапазона. Считается, что применение ВТСП керамических пленок в резонаторах позволит снизить шумовой сигнал в 100 и более раз, а полосу пропускания уменьшить более чем в 10 раз. Однако самой высокой добротностью (до 7ґ105) обладают объемные резонаторы, изготовленные из металлических ВТСП [3].
Специфика географического расположения России, следствием которой является необходимость покрытия БС сотовой связи больших территорий с малой плотностью абонентов, требуют больших уровней пиковой мощности (до тысяч ватт). Для достижения поставленной задачи фильтры в традиционном исполнении не годятся в силу вырождения сверхпроводимости в ВТСП-пленке. Наиболее подходящим в данном случае является использование дисковых ВТСП-резонаторов, работающих с колебаниями вида TM010 и текущих радиально с ВЧ-токами [6]. Если для фильтров приемных устройств большое значение имеют малые габариты, то одним из основных требований к фильтрам передающих устройств является большая допустимая пропускаемая мощность. По мнению некоторых специалистов [3], при создании компактных планарных фильтров с очень высокой добротностью (более 105) и допустимой мощностью 50 кВт или более весьма перспективно использование дисковых резонаторов. Эта концепция использовалась американскими и европейскими учеными, которые разработали фильтры на базе YBa2Cu3O7-X и Tl2Ba2Ca3Cu3O7-X пленок. Достигаемый при этом выигрыш в 8–10 раз в габаритах и массе получается при замене традиционных объемных резонаторов на дисковые с ВТСП-пленками.
Рис. 10
Предположение о достижимых рабочих характеристиках одиночного дискового резонатора и различных типов фильтров может быть сделано, основываясь на измеренной величине критического магнитного поля [4]. Один из фильтров, реализованных на частоте 2 ГГц, — однополюсный с добротностью нагруженного фильтра около 3000. При 60 К очень хорошие ВТСП-пленки позволяют получать величину критического поля около 150 А/см. Это соответствует критической циркулирующей мощности величиной 1125 Вт и 235 Вт для сапфировой и LaAlO3-подложек толщиной 0,5 мм соответственно на частоте 2 ГГц. На рис. 10 изображена температурная зависимость добротности (режим ТМ010) данного ненагруженного дискового резонатора от температуры при разном материале подложки. Очевидно, что использование сапфировой подложки является более предпочтительным, чем LaAlO3, поскольку tgd слабо меняется в широком температурном диапазоне [4]. Существует резко выраженное увеличение добротности резонатора на сапфировой подложке в технически привлекательном для реализации криокулера температурном диапазоне.
Рис. 11
На рис. 11 показано поперечное сечение трехполюсного фильтра с f0 = 1,95 ГГц [6], собранного на микрополосковых резонаторах. Каждый резонатор был изготовлен из двусторонней пленки YBCO, осажденной на подложку из лантаната алюминия (LaAlO3) диаметром 2 дюйма (5,08 см). Цепочка состоит из трех вертикально связанных микрополосковых дисковых резонаторов, разделенных между собой позолоченной Ti прокладкой. Измеренная циркулирующая мощность при 50 К составляет 72 Вт и ограничивается возможностью тестовой установки [6]. Для рассмотренного примера трехполюсного фильтра при входной мощности 70 Вт, выходной ВЧ-ток составил 1,2 А, при этом диссипативные потери (нагрев) составили 40 мВт, что предъявляет определенные требования к системе охлаждения ВТСП-фильтра. Относительная полоса пропускания этого фильтра составляет 1,2% при неравномерности 0,6 дБ. Расчеты показывают, что 9-полюсный фильтр аналогичной конструкции будет иметь относительную полосу пропускания 0,75 % и сможет коммутировать ВЧ-мощность свыше 1 кВт [6].
Рис. 12
АЧХ фильтра рассмотренной конструкции представлена на рис. 6. Фильтр был синтезирован как фильтр Чебышева с пульсацией АЧХ в полосе прозрачности 0,1 дБ и с относительной шириной полосы пропускания 0,75 % [6]. АЧХ этого фильтра измерялась при двух уровнях входной мощности: 1 мВт и 72 Вт. Снятые при этом характеристики практически не отличались друг от друга. Вносимые затухания фильтра при 1 мВт и 72 Вт были менее 0,1 дБ и ограничивались точностью измерительных приборов. При пропускании через фильтр только одной несущей частоты f0 термометр, расположенный на корпусе фильтра, регистрировал увеличение температуры на 0,2 К, что соизмеримо с выделением фильтром около 1 Вт тепла.
Рис. 13
Измеренная добротность ненагруженных резонаторов на 50 К составляла 100 000 и ограничивалась только диэлектрическими потерями в подложке. Расчетные вносимые затухания составили величину 0,02 дБ для Q = 100 000 при Т = 50 К. Суммарные потери на сопротивлении позолоченной гофрированной трубки — сильфоне составила 0,002 Ом. Таким образом, рассеиваемая мощность на сильфонах составила менее 40 мВт. Это согласуется с измеренной величиной вносимого затухания (менее 0,1 дБ) [6].
Василий Емельянов
|