|
Полезные возможности
программы PSPICE A/D
В "КиТ" печатается серия статей, посвященная основам работы с программой OrCAD - одним из самых популярных пакетов, предназначенных для разработки принципиальных схем и трассировки печатных плат. Для анализа и моделирования схем служит модуль iiaoeu PSPICE A/D, входящий в пакет OrCAD. В этой статье речь пойдет о некоторых полезных возможностях модуля PSPICE, малоизвестных широкому кругу пользователей.
Программы схемотехнического моделирования прочно вошли в нашу жизнь и стали основным инструментом современного разработчика электронных устройств. Можно с уверенностью сказать, что именно умение владеть подобными программами и отличает настоящего специалиста, стремящегося находиться на переднем крае техники и делать конкурентоспособную продукцию. Эти программы предназначены для разработки и моделирования аналоговых и аналого-цифровых схем и, конечно, хорошо известны большинству серьезных инженеров. В начале 1970-х годов в Калифорнийском университете профессор Дональд Педерсон придумал язык описания поведения аналоговых электронных элементов SPICE (Simulation Program with Integrated Circuit Emphasis), а первая коммерческая версия программы была выпущена фирмой MicroSim в 1984 году.
Удивительная красота алгоритмов и решений, заложенных изначально в язык SPICE, а также исключительная достоверность математических моделей привели к тому, что за 18 лет программа почти не изменилась. Об этом свидетельствует хотя бы то, что SPICE-модели элементов используются многими программами, например OrCAD, P-CAD, ACCEL EDA. Добавились всевозможные интерфейсные удобства, многие процессы теперь автоматизированы.
В версиях, использующих операционную систему Windows, вы можете наблюдать на экране одновременно принципиальную схему, ее текстовое описание и эпюры процессов. Появились богатые библиотеки символов элементов и макромоделей, которые ранее приходилось делать «вручную». Это — оптопары, тиристоры, транзисторы IGBT, регуляторы напряжения. Однако принципы создания моделей и макромоделей элементов, способы использования зависимых и независимых источников сигнала, методы анализа схем и функциональных блоков практически не изменились.
Моделирование следящих систем
Возможность описания зависимых источников с помощью передаточных функций позволяет моделировать не только принципиальные схемы, состоящие из электронных компонентов, но и сложные системы, включающие функциональные узлы различного уровня сложности, например, устройства автоматического регулирования, следящие системы.
Конечно, для этой задачи существуют специализированные пакеты, содержащие встроенные узлы с полным набором передаточных характеристик, например SIAM или SABER. Очевидно, что с глобальными задачами такие программы справляются лучше, по крайней мере, быстрее. Однако только PSPICE позволит вам соединить в одной схеме такие устройства, как исполнительный двигатель, датчик, корректирующие звенья и усилитель мощности. При этом корректирующий усилитель и усилитель мощности могут быть представлены как с помощью передаточных функций, так и в виде реальной электрической схемы, что существенно повысит точность расчета.
Если же обработку сигнала производит микропроцессор, моделирование позволит убедиться в правильности примененных алгоритмов и подобрать численные значения коэффициентов. Есть и еще ряд аргументов в пользу PSPICE, главным из которых является то, что он прошел длительное испытание как инструмент десятков тысяч специалистов, и ошибки в нем практически исключены. Кроме того, формирование входного файла PSPICE из чертежа позволяет легко интегрировать его в любой автоматизированный процесс проектирования.

Для примера рассмотрим структуру одной из наиболее распространенных следящих систем — системы термостабилизации, функциональная схема которой приведена на рис. 1. Такая система должна содержать датчик температуры, корректирующий усилитель, нагреватель и измеритель температуры. Усилитель коррекции (интегро-дифференцирующее звено) имеет следующую передаточную характеристику:

Нагреватель представляет собой инерционное звено, описываемое уравнением:

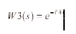
Датчик температуры, отстоящий от нагревателя, имеет запаздывание, которое можно описать следующим образом:


На рис. 2 приведена SPICE-схема анализируемой системы. В нашем случае работать придется не с принципиальной схемой, а с ее текстовым описанием. Во входном текстовом файле, генерируемом по команде Pspice/Create Netlist и приведенном ниже, приняты следующие обозначения:
- IN — входной сигнал;
- 1 — сигнал ошибки;
- 2 — выход корректирующего усилителя;
- 3 — выход инерционного (апериодического) звена — нагревателя;
- 4 — выход звена запаздывания;
- К1 — коэффициент передачи корректирующего усилителя;
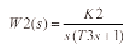
- К2 — коэффициент передачи датчика;
- К3 — коэффициент передачи цепи обратной связи;
- Т1, Т2 — постоянные времени интегро-дифференцирующего звена;
- Т3 — тепловая инерционность нагревателя;
- Т4 — постоянная времени запаздывания датчика.
Circuit : TERM
V1 IN 0 ac 1 pulse(0 1)
E1 1 0 VALUE= {V(in)-V(4)/K3}
E2 2 0 LAPLACE {V(1)}={K1*(T1*S+1)/(T2*S+1)}
E3 3 0 LAPLACE {V(2)}={K2/(S*(T3*S+1))}
E4 4 0 LAPLACE {V(3)}={EXP(-S*T4)}
R1 0 1 1
R2 0 2 1
R0 0 in 1
R3 0 3 1
R4 0 4 1
.PARAM T1=250
.PARAM T2=500
.PARAM T3=10
.PARAM T4=1
.PARAM K1=0.1
.PARAM K2=0.1
.PARAM K3=1
*****************************************************
|

Коэффициент К3 включен в описание схемы для того, чтобы иметь возможность исследовать частотную характеристику как разомкнутой, так и замкнутой системы (при К3=1). Обе частотные характеристики можно увидеть на графиках, приведенных на рис. 3. Значения коэффициента К3 мы задали следующим образом:
.STEP PARAM K3 LIST 1 1000
Изменяя коэффициенты передачи и постоянные времени, можно посмотреть, как это отразится на устойчивости системы и величине ошибки. Далее посмотрим переходный процесс, то есть отклик системы на единичный скачок при разных коэффициентах передачи.
Для этого в описании входного источника есть запись pulse(0 1). Включим анализ переходной характеристики и опишем изменяемый параметр следующим образом:
.STEP PARAM K1 LIST 0.1 1
На эпюрах рис. 4 вы можете увидеть сигнал ошибки при таком воздействии. Как и следовало ожидать, при увеличении коэффициента передачи уменьшается ошибка и увеличивается колебательность.

Таким образом, анализируя АЧХ и ФЧХ звеньев системы, изменяя постоянные времени, можно оптимизировать корректирующие звенья. После чего усилитель коррекции и усилитель мощности можно представить в виде реальной принципиальной схемы (если они аналоговые) и повторить расчет. Если функции корректирующего усилителя выполняет микропроцессор, то приведенный анализ поможет подобрать оптимальные характеристики системы.
Тестирование параметров моделей
Одно из интереснейших применений программы PSPICE — моделирование импульсных силовых каскадов, построенных на транзисторах MOSFET и IGBT. Появление этих компонентов на рынке вызвало настоящую революцию в силовой электронике и позволило создавать мощные преобразователи с недостижимыми ранее показателями мощности и эффективности при минимальных габаритах.
Макетирование подобных устройств очень сложно и, как правило, нецелесообразно. Единственным способом проверить правильность расчетов является моделирование. Как и во всех остальных случаях, точность моделирования определяется, в первую очередь, достоверностью математических моделей входящих компонентов. К сожалению, встроенные модели транзисторов MOSFET и IGBT, появившиеся в последних версиях программы PSPICE, не выдерживают никакой критики и годятся разве что для обучения.
Стандартные SPICE-модели MOSFET изначально были разработаны для полевых транзисторов малой мощности. По ряду параметров они оказались непригодны для анализа мощных полевых транзисторов с вертикальной структурой. Главным недостатком встроенных моделей является недостоверная аппроксимация зависимости паразитных емкостей и заряда затвора от напряжения сток-исток. Для того чтобы схемы, использующие мощные транзисторы MOSFET, можно было моделировать с помощью программы PSPICE, фирма International Rectifier предложила использовать макромодель, максимально приближающую характеристики моделей к параметрам реальных транзисторов. Схема предлагаемой макромодели приведена на рис. 5.

Стандартная модель М1 Шихмана-Ходжеса [1], включенная в схему, имеет нулевые емкости, зависящие от напряжения: CBD (подложка-сток), CBS (подложка-исток), CGBO (затвор-подложка). Поведение при обратном восстановлении обеспечивается диодом D1, а нелинейная зависимость емкости сток-затвор формируется специальной подсхемой, также приведенной на рис. 5. Для точного воспроизведения эффекта Миллера между затвором и стоком включены источники тока FI1 и FI2, управляемые током независимых источников VFI2 и VFI1. Эти источники имеют нулевое напряжение и используются в качестве датчиков тока. Входным напряжением EV16 для подсхемы является напряжение сток-затвор.
Чтобы предлагаемые математические модели можно было использовать для анализа схем, прежде всего необходимо убедиться в их работоспособности. А работоспособность модели может подтверждаться только совпадением ее характеристик с параметрами реального транзистора. Для того чтобы протестировать качество модели, воспользуемся программой схемотехнического моделирования PSPICE A/D, о которой и идет речь в данной статье.
Для оценки предлагаемой модели воспользуемся графиком зависимости полного заряда затвора от напряжения на затворе QG=f(VGS), поскольку динамические характеристики транзистора обусловлены зарядом затвора в гораздо большей степени, чем емкостью СGS. В качестве испытуемого выберем транзистор IRF640, имеющий полный заряд затвора 60 нКл.

На тестовой схеме, приведенной на рис. 6, полевой транзистор включается от источника тока I. Напомним, что заряд затвора определяется произведением тока затвора на время:

Таким образом, при питании цепи затвора от источника стабильного тока, заряд затвора изменяется пропорционально времени. Ток IG является масштабным коэффициентом и, выбрав его соответствующим образом, можно получить градуировку по оси абсцисс в нс, соответствующих нКл. Сравнительные характеристики заряда затвора для реального транзистора (ACTUAL) и модели (MODELLED) приведены на рис. 7.

Как видно из графиков, показанная модель очень достоверно воспроизводит нелинейный характер зависимости заряда затвора от напряжения, что позволяет моделировать динамические характеристики схем на MOSFET-транзисторах с высокой степенью точности.
Появление достоверных моделей MOSFET-транзисторов сделало возможным разработку достоверной макромодели транзистора IGBT. Эта работа также была проделана специалистами International Rectifier. Структурно IGBT представляет собой мощный высоковольтный PNP (Q1) транзистор, управляемый от низковольтного МОП транзистора (M1) с индуцированным каналом через высоковольтный N-канальный полевой транзистор. На эквивалентной схеме, приведенной на рис. 8, N-канальный транзистор опущен, так как его характеристики практически не влияют на характеристики IGBT.

Параметры IGBT-транзисторов в основном определяются именно характеристиками «полевой части». Скорость включения и выключения, заряд затвора, динамические емкости и входные токи — это свойства входного MOSFET-транзистора. «Биполярная часть» IGBT влияет, в основном, на напряжение насыщения и скорость нарастания и спада выходного тока.
Проблема получения достоверных математических моделей силовых транзисторов, пригодных для анализа электронных схем, во многом решена благодаря кропотливой работе технических специалистов фирм, производящих электронные компоненты. В первую очередь это относится к International Rectifier, Eupec,
Infineon. Как правило, на сайтах этих фирм вместе с техническими характеристиками транзисторов помещаются и их математические модели. Однако их создание — долгий и кропотливый процесс, и модели новейших транзисторов появляются спустя продолжительное время после их выпуска. Кроме того, модели
делаются людьми, и ошибки в них встречаются довольно часто. Поэтому умение тестировать существующие и создавать новые модели необходимо современному разработчику, если он считает себя специалистом и хочет создавать конкурентоспособную технику.
Литература
- H. Shichman, D. A. Hodges. Modeling and simulation of insulated-gate field-effect transistor
switching circuits // IEEE Journal of Solid-State Circuits. 1968. Sept. SC-3. 285.
- Use Gate Charge to Design the Gate Drive Circuit for Power MOSFETs and IGBTs. AN-944.
- Application Characterization of IGBTs. INT990.
- IGBT Characteristics. AN-983.
- А. Колпаков. Моделирование MOSFET-транзисторов с помощью SPICE // Новые компоненты. 1998. No 5–6 (8).
Андрей Колпаков
|