Школа схемотехнического проектирования устройств обработки сигналов.
Занятие 17. Цифровые синтезаторы прямого синтеза частот
Это занятие посвящено достаточно часто используемому классу устройств — цифровым синтезаторам прямого синтеза частот. Его цель — показать роль предварительного математического моделирования для улучшения рабочих характеристик устройства. Синтезаторы прямого синтеза частот обладают рядом преимуществ по сравнению с синтезаторами с системой фазовой автоподстройки частоты (ФАПЧ). Во-первых, в них практически отсутствуют переходные процессы, что определяет их высокое быстродействие. Во-вторых, архитектура цифровых синтезаторов прямого синтеза частот (ЦСПСЧ) позволяет с меньшими затратами изготавливать их в интегральном исполнении, в том числе и в виде макросов для ПЛИС. В-третьих, это наиболее дешевые и технологичные синтезаторы. Особенно удобно применение синтезаторов прямого синтеза в качестве перестраиваемых генераторов систем демодуляции ЧМ- и ФМ-сигналов, таких, как система Костаса, квадратурные системы и т. д. Перспективно использование ЦСПСЧ в системах управления диаграммой направленности антенных решеток. Использование ЦСПСЧ в системах ориентации требует высокой спектральной чистоты выходного сигнала синтезатора, высокой скорости и малого шага перестройки частоты для обеспечения сканирования в широком диапазоне углов и возможности импульсного зондирования. ЦСПСЧ обладают целым рядом преимуществ по сравнению с синтезаторами с системой фазовой автоподстройки частоты. Рассмотрим основные из них:
- в ЦСПСЧ практически отсутствуют переходные процессы, что определяет быстродействие синтезаторов; для современных синтезаторов время переключения на следующую ступень — менее 10 нс;
- ЦСПСЧ позволяют обеспечить очень высокую разрешающую способность, шаг сетки частоты — менее 0,1 Гц;
- архитектура позволяет значительно проще выполнять их в интегральном исполнении, чем синтезаторы с системой автоподстройки. Это наиболее дешевые и технологичные синтезаторы.
К основным параметрам синтезаторов частоты относятся: диапазон синтезируемых частот, разрешение по частоте, время установки, стабильность фазы и частоты выходного колебания, качество спектра выходного колебания (то есть наличие в спектре и уровень шумов, высших гармоник, побочных дискретных составляющих). Эти параметры являются первоочередными при оценке характеристик синтезатора. Помимо вышеприведенных основных параметров необходимо учитывать следующий ряд параметров:
- тип выходного сигнала (синусоидальный, меандр, короткий импульс и т. д.);
- уровень выходного напряжения и нагрузочная способность выхода;
- амплитудные характеристики выходного сигнала (отсутствие отклонений от требуемой формы, стабильность амплитуды);
- непрерывность фазы и амплитуды сигнала при переходе с одной частоты на другую;
- требования к условиям работы (температура окружающей среды, влажность, удар, вибрация, проникающее излучение, помехи в радиодиапазоне и т. д.);
- массогабаритные характеристики;
- энергопотребление;
- цена;
- сложность в конструкции и производстве;
- количество синтезируемых независимых выходных частот;
- способ управления и формат команд управления, определяющих построение устройства управления синтезатором в зависимости от применения.
При прямом цифровом синтезе обеспечиваются высокие скорости перестройки частоты, высокая разрешающая способность, низкий уровень фазового шума и возможность осуществлять угловую модуляцию выходного сигнала. Перспективным представляется применение комбинированных систем, сочетающих как прямые цифровые и аналоговые методы, так и системы с ФАПЧ.
Рассмотрим алгоритмические принципы прямого цифрового синтеза. ЦСПСЧ можно разделить по логике работы на две большие группы: синтезаторы, построенные на основе накапливающего сумматора (НС) и синтезаторы, построенные с использованием различного рода делителей, в том числе делителей с дробно-переменным коэффициентом деления. По типу выходного сигнала различают ЦСПСЧ двухуровневых и многоуровневых сигналов. Последние обладают лучшими спектральными характеристиками. К синтезаторам многоуровневых сигналов относится схема с использованием табличного метода на базе НС, впервые предложенная в 1971 году. Рассмотрим структурную схему синтезатора на основе табличного метода синтеза (рис. 1).

Количество разрядов адресного регистра обращения к таблице синусов может превышать величину log2 М (здесь М — размер таблицы синусов), которая необходима для вызова любого отсчета таблицы. Дело в том, что наименьшее приращение адреса определяет минимально возможное значение синтезируемой частоты.
Например, таблица синусов может содержать М=1024 отсчета, тогда как регистр адреса может иметь 20 разрядов для обеспечения требуемого разрешения по частоте. Это означает, что если приращение адреса равно единице, то 1024 раза подряд будет выбираться один и тот же отсчет синуса, после чего произойдет переход к следующему отсчету и т. д. При таких малых приращениях адреса получаемая цифровая синусоида будет очень неточной, а возникающие при этом искажения в спектре трудно устранить с помощью фильтра нижних частот.
Широко используемые на практике ЦСП пока еще уступают синтезаторам с петлей ФАПЧ по качеству спектра выходного сигнала. Основной вклад в фазовую ошибку вносят дискретные побочные линии, появляющиеся из-за эффектов дискретизации и округления в узлах синтезатора. Поэтому применяются различные методы снижения уровня побочных составляющих.
Как видно из рис. 1, основным узлом синтезатора является НС, который работает как генератор адреса для адресации постоянного запоминающего устройства (ПЗУ), содержащего отсчеты синтезируемой функции, как правило, тригонометрической.
Разрешение по частоте ЦСП данного типа определяется как

где M=2p — емкость НС, p — разрядность НС, fтакт — тактовая частота. Для улучшения разрешения по частоте и увеличения числа синтезируемых частот необходимо увеличение разрядности НС. С другой стороны, если использовать все разряды НС для адресации ПЗУ, то это потребует увеличения объема ПЗУ в степенной зависимости от числа разрядов НС, что практически сложно реализовать технически и увеличивает стоимость синтезатора. Из-за этого для адресации ПЗУ используют a < p разрядов НС, величину b=p–a будем называть числом битов округления. Как правило, в реальных синтезаторах используются НС с разрядностью p=21–36 бит, разрядностью адреса ПЗУ a=12–15 бит и разрядностью шины данных d=8–12 бит.
Математическая модель сигналов ЦСП
От структурной схемы перейдем к математической модели ЦСПСЧ и соответствующей ей функциональной схеме, показанной на рис. 2, где введены следующие обозначения: е1 — ошибка, вызванная округлением фазы при адресации ПЗУ; е2 — ошибка, связанная с конечной разрядностью шины данных; е3 — ошибка, вызванная нелинейностью цифро-аналогового преобразователя (ЦАП), его собственными шумами и коммутационными помехами ЦАП; W1(x) — оператор, описывающий устройство компенсации ошибки е1; W2(x) — оператор, описывающий устройство компенсации ошибки е2.

Ошибка округления данных е2 может быть значительно снижена путем увеличения разрядности шины данных ПЗУ, что вызывает только линейное увеличение его объема.
Ошибка ЦАП е3 может быть уменьшена путем выбора достаточно качественных ЦАП, а также путем применения специальных схемотехнических решений.
Ошибка округления фазы е1 вносит наиболее значительный вклад в ухудшение спектральных характеристик синтезатора, вызывая появление нежелательных дискретных составляющих в спектре выходного сигнала.
В связи с рядом особенностей функционирования различных узлов синтезатора в спектре выходного сигнала появляются нежелательные дискретные составляющие, имеющие порой довольно значительную амплитуду. Основной вклад в образование побочных дискретных составляющих вносит ошибка e1[i], вызванная округлением фазы при адресации ПЗУ с таблицей T[i] синтезируемой функции.
Как правило, ПЗУ содержит отсчеты синусоиды, то есть

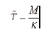
Рассмотрим работу накапливающего сумматора (НС) емкостью M=2p, p—разрядность НС. Пусть K — значение управляющего слова (код ситнезируемой частоты). Тогда частота выходного сигнала fc имеет вид:

Тогда

где round(x) — округление до ближайшего целого. Разрешение по частоте (шаг сетки частот) определяется как

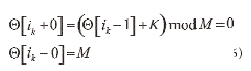
Особенность работы НС — непостоянное число генерируемых отсчетов на период синтезируемой функции. Рассмотрим это явление подробнее. В момент времени i в НС содержится величина

где c=a mod b — операция деления по модулю b. Очевидно, что

Пусть — момент k-го переполнения НС. Обозначим

trunc(x) — целая часть x. Тогда ik=tk только при

Очевидно, что условие (6) выполняется в довольно редких случаях, при соответствующих значениях M и K. В этом случае . В остальных случаях

Пусть rk — число отсчетов, генерируемых между отсчетами ik и ik+1. Ясно, что rk №const. Обычно при анализе работы НС последовательность представляется как последовательность отсчетов из идеализированной пилообразной функции с амплитудой М=2p и периодом

(при нормированной fтакт=1). Очевидно, что период пилообразной функции совпадает с периодом синтезируемой функции. Однако, период последовательности определяется как наименьшее целое L, такое что

где НОД (a, b) — наибольший общий делитель чисел a и b.
Таким образом, периоды и совпадают в том случае, если K = НОД (K, M), то есть K является целой степенью 2. Пусть p=6, K=17. Тогда период 

С другой стороны, период 

В этом случае период последовательности отсчетов, выбранных из таблицы T[i], будет совпадать с периодом . Тогда спектр выходного сигнала должен содержать L дискретных составляющих.
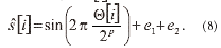
Рассмотрим выходной сигнал ЦСП. Для простоты будем полагать fтакт=1. Без учета эффектов, связанных с округлением, выходной сигнал ЦСП имеет вид:

Предполагая, что для адресации ПЗУ используется а старших бит НС, получим, с учетом округления фазы, вид реального выходного сигнала

Данное выражение может быть записано в виде

где e1[i] — последовательность ошибки округления фазы НС. При дальнейшем анализе будем полагать e1 @ e2 @ 0. Аналогично, последовательности, характеризующей величину содержимого НС , ошибка e1[i] может быть представлена как последовательность выборок из идеализированной пилообразной функции с амплитудой 2b и периодом 2b/K. С другой стороны, последовательность e1[i] может быть представлена как последовательность содержимого НС с разрядностью b и управляющим словом (кодом частоты) Ke = K mod 2b.
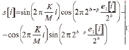
Выражение (10) может быть представлено в следующем виде:

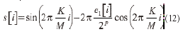
Величина , 2b–p<<1, то есть ошибка округления фазы e1[i] значительно меньше самой фазы. Тогда используя соотношения sin(x)=x, cos(x)=1, x>0, получим

Из выражения (12) видно, что спектр выходного сигнала s[i] состоит из гармонической составляющей синтезируемой частоты и побочных составляющих, амплитуда и частота которых определяется ошибкой округления фазы e1[i]. Тогда для определения спектра выходного сигнала синтезатора необходимо определить спектр ошибки округления фазы e1[i]. Наиболее просто это сделать, если найти разложение в ряды Фурье идеализированной пилообразной функции e1(t). Однако для определения данного разложения необходимо обеспечить выполнение условий Дирихле для функции в моменты времени, соответствующие периодам синтезируемого колебания. С другой стороны, необходимо учесть несоответствие периодов идеализированной пилообразной функции e1(t) и последовательности ошибки e1[i]. Для обеспечения выполнения вышеприведенных условий дополним функцию последовательностью прямоугольных импульсов p(t) с частотой K/2b, амплитудой 2b/2 и длительностью
НОД (K, 2b)/2b. При этом середины импульсов соответствуют разрывам . Тогда ошибку округления фазы e1[i] будем представлять как отсчеты из непрерывной функции

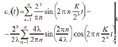
Тогда разложение в ряд Фурье для функции имеет вид

где l=2b / (2НОД(K,2b)). Первая сумма в разложении (14) представляет собой разложение в ряд Фурье функции , вторая сумма — разложение в ряд Фурье последовательности прямоугольных импульсов p(t).
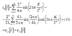
Представляя e1[i] как последовательность выборок из e1(t), по (14) получим

Период последовательности

Очевидно максимальное значение Te=2b. Периодичность e1[i] приводит к появлению в спектре дискретных составляющих. Учитывая, что амплитудный спектр e1[i] симметричен относительно fc, он будет состоять из l=2b/(2НОД(K,2b)) дискретных составляющих.
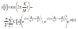
Проведя некоторое количество выкладок, которые, дабы не утомить читателя, мы опускаем, можно увидеть, что выходной сигнал синтезатора принимает вид

Из выражения (16) видно, что спектр выходного сигнала ЦСП состоит из двух последовательностей дискретных составляющих, соответствующих частотам

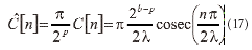
При этом число дискретных составляющих, имеющих ненулевую амплитуду, полностью определяется только лишь числом составляющих в спектре ошибки округления фазы e1[i]. Амплитуды побочных составляющих в спектре выходного сигнала будут иметь вид

Для практических приложений необходимо знать не распределение по соответствующим частотам, а возможный максимальный уровень побочных составляющих при определенных значениях разрядности НС p, разрядности шины адреса ПЗУ а и кода частоты K. Выражение (17) представляет собой монотонно убывающую функцию n. Тогда при n=1 мы имеем возможный максимальный уровень побочной составляющей

Выражение (18) определяет соотношение между максимальным уровнем побочных составляющих, числом бит округления, соответствующим кодом частоты. Из (18) видно: наихудший случай, соответствующий наибольшей величине , соответствует случаю

На рис. 3 представлена зависимость (18).

При НОД(K, 2b)=1 с ростом b амплитуда стремится к наименьшему значению

Практически, уже при b=4 можно считать

Методы улучшения качества спектра выходного сигнала ЦСПСЧ
Особенность поведения ЦСП, описываемая выражением (18) позволяет разработать довольно простой способ уменьшения уровня побочных составляющих минимум на 3,99 дБ. При выборе требований к синтезатору можно ограничить диапазон изменения кодов частоты K таким образом, чтобы НОД(K,2b)=1. Однако данный путь ведет к ухудшению разрешения по частоте.
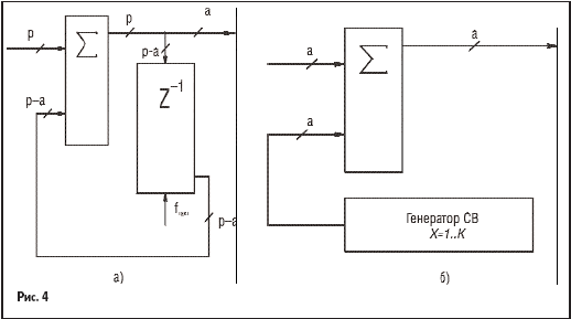
С другой стороны, для того чтобы уменьшить максимальный уровень побочных составляющих, можно внести простые изменения в структурную схему синтезатора. Заметим, что условие НОД(K,2b)=1 эквивалентно тому, что K нечетно. При этом, младший значащий разряд (МЗР) НС будет последовательно принимать значения 0 и 1 на каждом такте fтакт. Если K четно, то МЗР НС всегда равен 0. Воспользовавшись этим фактом, добавим в схему синтезатора дополнительные элементы, как показано на рис. 2. Такое построение синтезатора эквивалентно использованию p+1 разрядного НС с нечетными K, при этом не ухудшаются такие параметры синтезатора, как время перестройки, диапазон и шаг синтезируемых частот.
В настоящее время наиболее эффективными методами подавления побочных составляющих в спектре выходного сигнала являются методика рандоминизации, предложенная Витли, и методика псевдошумового формообразования.
Представленная на рис. 4 а) интерполяционная схема подавления шума расположена между накопителем и ПЗУ. Оно состоит из накопительного сумматора, который обеспечивает задержку ошибки округления на предыдущем шаге и ее суммирование с ошибкой округления в данный момент. Таким образом, происходит уменьшение амплитуды ошибки и, как следствие, уменьшение уровня побочных составляющих в спектре.

Если синтезируемая частота ниже, чем соответствующая тактовой частоте в смысле теоремы Котельникова, то имеет место дискретизация с запасом по частоте. Этот запас можно использовать для снижения шума, связанного с округлением фазы. Общая ошибка может быть снижена путем коррекции адресации ПЗУ в соответствии с накапливаемой ошибкой. Это эквивалентно линейной или квадратичной интерполяции между двумя последовательными адресами ПЗУ.
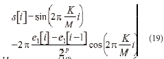
Тогда сигнал на выходе имеет вид

Из выражения (19) видно, что подобное построение синтезатора уменьшает дискретные составляющие в спектре фазовой ошибки. На рис. 4 б) приведена схема подавления дискретных побочных составляющих по так называемому методу Витли. В дополнение к классической структурной схеме синтезатора с фазовым накопителем, вводится дополнительный генератор псевдослучайного кода.
Периодическое добавление псевдослучайного числа к содержимому фазового накопителя позволяет разрушить когерентность фазовой ошибки и таким образом размыть нежелательные дискретные составляющие в спектре выходного сигнала. При каждом переполнении фазового накопителя псевдослучайная величина X суммируется с его содержимым. X равномерна распределена в диапазоне 0..K–1, где K — значение кода синтезируемой частоты.
Фазовой ошибке соответствует величина ошибки e, содержащаяся в накопителе к моменту переполнения. Ясно, что величина e должна быть меньше, чем код синтезируемой частоты K. При добавлении X = 0 переполнение фазового накопителя будет происходить в те же моменты времени, что и у синтезатора без «дрожания» содержимого накопителя.
При X < e будет происходить запаздывание, а при X > e опережение во времени момента переполнения фазового накопителя. Тогда, учитывая равномерное распределение X в интервале 0...K–1, функция распределения фазовой ошибки моментов времени переполнения фазового накопителя будет иметь вид:

Тогда среднее значение фазовой ошибки моментов времени переполнения фазового накопителя <t> имеет вид

Но, поскольку (k–e)/k=Te/Tc, получим <t>=0. Таким образом, в среднем, переполнение фазового накопителя синтезатора Витли происходит в те же моменты времени, что и у обычного синтезатора без «дрожания» содержимого фазового накопителя. Это означает, что средний период синтезируемой частоты не зависит от «дрожания» содержимого накопителя, поэтому выходная частота синтезатора Витли однозначно и точно определяется значением кода частоты K. Однако гораздо интереснее и важнее тот факт, что время наступления момента переполнения фазового накопителя не зависит от первоначальной фазовой ошибки. Это означает, что даже если соседние значения фазовой ошибки первоначально коррелированы, добавление случайной величины Х не влияет на среднее время переполнения фазового накопителя и все побочные дискретные линии в спектре, возникающие из-за когерентности ошибки, устраняются. Таким образом, на выходе вместо дискретных боковых линий будет появляться непрерывный шум, связанный со случайностью между моментами переполнения фазового накопителя. При этом максимальный уровень побочных составляющих снижается.
Для проверки выдвинутых предположений был разработан макетный образец синтезатора со следующими параметрами:
- разрядность НС p=20;
- разрядность шины адреса a=8;
- разрядность шины данных d=8;
- тактовая частота fтакт = 250 кГц;
- диапазон синтезируемых частот от 3,8 Гц до 125 кГц;
- шаг сетки частот 7,63 Гц;
- количество синтезируемых частот Nсинт=32768;
Исследование формы выходного сигнала при включенном и выключенном интерполирующем устройстве компенсации проводилось с помощью запоминающего осциллографа С8-9А. Данные измерений подтверждают правильность предположений о влиянии схемы компенсации на выходной сигнал синтезатора.
В случае применения интерполяционного устройства компенсации выходной сигнал синтезатора можно представить в виде суммы двух сигналов, один из которых является правильным синусоидальным сигналом, а второй представляет собой шумовую составляющую с максимальной амплитудой, равной разрешающей способности ЦАП.
Для измерения спектра выходного сигнала использовался 28-полосный спектроанализатор MICRO Audio mkA-2800 R с динамическим диапазоном 70 дБ.

На рис. 5 приведены экспериментально полученные спектры выходного сигнала при K=128, Fвых=488,3 Гц, тогда число дискретных составляющих в спектре выходного сигнала Nд=256. Выходной спектр ЦСП содержит 256 составляющих в интервале от 0 до 125 кГц с шагом 488 Гц соответственно. Сплошной линией показан спектр ЦСП без применения интерполяционного устройства компенсации, крестиками показан спектр ЦСПСЧ с применением интерполяционного устройства компенсации. Максимальный уровень побочных составляющих
определяется по выражению (18), и для данного синтезатора Сmax=–44 дБ. Экспериментальные результаты совпадают с предсказанными в теоретическом исследовании, что видно из рис. 5.
Таким образом, на примере ЦСПСЧ мы показали путь проектирования устройства от математической модели к изделию.
Литература
- P. O'Leary, F. Maloberti. A direct-digital synthesizer with improved spectral performance// IEEE Trans. on communications. Vol 39. No. 7.
- J. Tierney, С. M. Rader, B. Gold. A Digital Frequency Synthesizer // IEEE Trans. Audio Electroacoust. March 1971. Vol. AU-19.
- V. Reinhardt, et al. A Short Survey of Frequency Synthesizer Techniques // Proc. 40th AFCS 86.
- E. C. Kisenwether, W. C. Troxell. Performance Analysis of the Numerically Controlled Oscilator // Proc. 40th AFCS 86.
- A. Bramble, J. Kesperis. Army Frequency Agile Synthesizer Program // Proc. 40th AFCS 1986.
- J. A. Connelly, K. P. Taylor. An Analysis Methodology to Identify dominant Noise Source in D/A and A/D Converters // IEEE Trans. on Circuits and Systems. October 1991. Vol. CS-38.
- V. C. Reinhardt. Spur Reduction Techniques in Direct Digital Synthesizers // Proc. 1993 IEEE international frequency control symp. 1993.
- C. Cole. Design of a Direct Digital Synthesizer// Masters. Thesis, Masachusetts Institute of
Technology. 1982.
- J. Galbraith. Generate Sine Wave by Direct Table Look-up // EDN. 28 April 1982.
- Frequency Synthesis and Applications /Edited by J. Gorsky-Popiel. IEEE Press. 1975.
- H. W. Kaiser, et al. SOS Frequency Synthesizer // RCA Advanced Technolgy Labs. Moorestown, New Jersey. Final Report to ERADCOM, Fort Monmouth (DELETTR81-0376-8). January 1985.
- E. J. Nossen. Digital Frequency Synthesis. Unated States Patent 4 206 425. 3 June 1980.
- U. Rohde. Low Noise Frequency Synthesizers Using Fractional N Phase-Locked Loops //MSN. January-February 1981.
- C. E. Wheatley III, D. E. Phillips. Spurious Suppression in Direct Digital Synthesizers //
Proc. 35th AFCS 1981.
- C. E. Wheatley III. Digital Frequency Synthesizer with Random Jittering for Reducing Descrete Spectral Spurs. United States Patent 4 410 954. 18 October 1983.
- H. T. Nicholas III, H. Samueli. An Analysis of the Output Spectrum of Direct Digital Frequency Synthesizers in the Presence of Phase-Accumulator Truncation // Proc. 42nd AFCS. 1987.
- H. T. Nicholas III, H. Samueli, B. Kim. The Optimization of Direct Digital Frequency Synthesizer Performance in the Presence of Finite Word Lenght Effects // Proc. 42nd AFCS. 1988.
- H. T. Nicholas. The Determination of the Output Spectrum of Direct Digital Frequency Synthesizers in the Presehce of Phase Accumulator Truncation. Thesis Masters of Science in Electrical Engineering. UCLA. 1985.
- V. F. Kroupa. Discrete Spurious Signals and Background Noise in Direct Digital Frequency Synthesizers // Proc. 1993 IEEE international frequency control symp. 1993.
- P. Saul, D. Taylor, T. Ward. A 500 MHz output direct frequency synthesizer // Proc. 15th Europian Solid-State Circuits Conf. 1989. Vienna.
- V. Anrews, M. Brown, W. White, P. Wang, R. Meyer, J. Vaal. A Monolithic GaAs DDS for a Digital Radio Application // 1992 COMAC Conference Digest.
- Michael J. Flanagan, George A. Zimmerman. Spur-Redused Digital Sinusoid Synthesys //IEEE Trans. COM-43,N 7. July 1995.
Владимир Стешенко, к.т.н.
|