Резистивные датчики температуры.
Принципы работы и характеристики
Задача получения правильных результатов измерения температуры в большинстве случаев может быть решена при применении резистивных датчиков температуры (РТД), которые представлены на рынке в большом количестве конструктивных исполнений и точностных характеристик. Они являются одними из наиболее стабильных и точных температурных датчиков, работающих в температурном диапазоне приблизительно от -200 до 800 °C, и используются там, где требуется хорошая повторяемость результатов измерений при их высокой точности.
Принцип действия
Работа РТД основана на свойстве металлов к изменению своего электрического сопротивления при изменении температуры. Известно, что все металлы изменяют свое сопротивление при изменении температуры. Этот факт и определил появление РТД.
Сопротивление отрезка провода прямо пропорционально его длине и обратно пропорционально площади поперечного сечения:

где p — удельное сопротивление материала.
Каждый металл имеет определенное и уникальное удельное сопротивление, которое может быть определено экспериментально. РТД изготавливают из металлов, сопротивление которых растет с температурой. В пределах ограниченного температурного диапазона удельное сопротивление линейно растет с ростом температуры:

где pt — удельное сопротивление при температуре t, p 0 — удельное сопротивление при стандартной температуре t 0 ,a — температурный коэффициент сопротивления (°C –1).
Считая t 0 =0 °C, решим совместно уравнения 1 и 2. После приведения решения к стандартной линейной форме (y =mx +b) становится ясно, что изменение сопротивления в зависимости от температуры является линейной функцией с наклоном, равным a :

Теоретически, любой металл может быть использован в качестве датчика температуры, однако идеальный металл должен иметь специфические характеристики:
- высокую точку плавления;
- устойчивость к коррозии;
- иметь линейную характеристику R=F(t);
- быть долговечным.
Платиновый провод хрупок, но материал высокоустойчив к загрязнению и обладает только слегка нелинейной характеристикой dR/dt, поэтому платина и была выбрана для применения в РТД. К ее положительным характеристикам следует отнести химическую стабильность, возможность достаточно легкого получения материала в химически чистой форме, а также электрические свойства, которые имеют высокую повторяемость.
РТД изготавливают или из сплава IEC/DIN (американский стандарт) или из химически чистой платины (европейский стандарт). Отличие — в степени чистоты. Если стандарт IEC/DIN определяет, что датчик изготавливается из платины, которая преднамеренно загрязнена другими металлами платиновой группы, то платина, применяемая в датчиках, изготавливаемых по европейскому стандарту, имеет степень чистоты не менее 99,99%. Если датчики, сделанные из разных материалов, будут иметь сопротивление 100 Ом при 0 °C, то при 100 °C датчик, изготовленный из сплава IEC/DIN, будет иметь сопротивление 138,5 Ом, а датчик, изготовленный по европейскому стандарту, — 139,02 Ом.
Международными комитетами были установлены стандартные кривые для РТД. Они определили средний температурный коэффициент a , который определяет наклон функции R =F (t) в диапазоне температур между 0 и 100 °C. Из уравнения 3 получаем выражение для a :

Для платины стандарта IEC/DIN a =0,00385 Ом/(Ом ·°C). Для платины европейского стандарта — 0,003926 Ом/(Ом ·°C)(максимально).
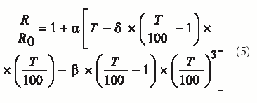
Зависимость между сопротивлением и температурой может быть приближенно описана уравнением Каллендар —Ван Дусена:

где T — температура (°C), R — сопротивление при температуре T, R 0 — сопротивление при температуре таяния льда,a =постоянный коэффициент (определяет наклон функции R =F(T)при T =0 °C),d — постоянный коэффициент,b — постоянный коэффициент (b =0 при T >0 °C).
Фактические значения коэффициентов a, d иb определяются экспериментально путем измерения значения РТД при разных температурах и решения уравнения 5.
Уравнение Каллендар — Вана Дусена может быть упрощено:

При по ожительных температурах поведение платинового РТД упрощается, так как коэффициент C становится равным нулю, и может быть определено как

Как было сказано выше,уравнения были получены Каллендар — Ван Дусеном из экспериментальных данных. Он использовал для калибровки три точки:0 °C и еще две произвольно выбранных по ожительных температуры:
- точку кипения воды — 100 °C;
- тройную точку цинка — 419,58 °C.
Коэффициенты A, B, и C зависят от материала провода и его чистоты. Ничто не вечно, даже очень хорошие датчики иногда выходят из строя, и их необходимо менять. Для того чтобы эта операция была безболезненной для пользователя, датчики должны иметь идентичные характеристики, поэтому международный стандарт IEC 751 в целях взаимозаменяемости датчиков определил коэффициенты уравнения Каллендар — Ван Дусена, которые должен иметь любой выпускаемый РТД. Значения коэффициентов приведены ниже.
Коэффициенты для платиновых датчиков по стандарту IEC 751-2 (ITS90):
A |
B |
C |
3,9083x10 –3 °C –1 |
–5,775 x10 –7 °C –2 |
–4,183 x10 –12 °C –3 |
Для отдельно взятого датчика постоянные A, B и C могут слегка отличаться от стандартных, в зависимости от выбранных калибровочных температур и техно огии его изготовления. Поэтому при проведении точных измерений следует уточнить его характеристики у производителя.
Конструкция датчиков
Датчики изготавливают двух видов: провоочные или тонкопленочные.
Проволочные датчики наматывают очень тонким платиновым проводом на катушку до получения сопротивления равным 100 Ом. Потом катушка вставляется в керамическую оправку для предотвращения замыканий на корпус и обеспечения виброустойчивости. Этот процесс очень трудоемок, а вся работа выполняется вручную под микроскопом.
Тонкопленочные датчики изготавливаются методом осаждения тонкого слоя платины или ее сплавов на керамическое основание и следующей подгонки сопротивления резистора к требуемому значению. После этого элементы датчика для обеспечения влагоустойчивости покрываются стеклом или эпоксидной смолой. Преимуществом тонкопленочных датчиков по сравнению с прово очными является то, что по этой техно огии можно получить более высокоомные датчики при значительно меньших габаритах. Это ведет к увеличению разрешения на градус и, соответственно, минимизирует ошибки, вызываемые сопротивлением подводящих проводов. Например, выпускаются датчики, имеющие сопротивление 1000 Ом при 0 °С. Тонкопленочные датчики восприимчивы к деформации,и имеют максимальный температурный коэффициент 0,00385 Ом/(Ом ·°C).
Параметры датчиков
При выборе конкретного датчика должны анализироваться следующие его характеристики:
- схема подключения (двух-, трех-или четырехпроводная);
- саморазогрев;
- точность;
- стабильность;
- повторяемость;
- время выхода на режим.
Схемы подключения
Используются двух-, трех-или четырехпроводные схемы подключения датчика к измерительному устройству. Они хорошо известны и поэтому не будут детально описываться. Но все же коротко рассмотрим основные аспекты их применения. Двухпроводная схема подключения используется там, где подводящие провода являются очень короткими и может быть допущена некоторая ошибка измерения. При трехпроводном подключении имеются три подводящих проводника вместо двух, что позволяет в некоторой степени уменьшить ошибки измерения, вносимые протеканием тока через подводящие провода. Четырехпроводная конфигурация может быть рекомендована для получения наилучших результатов измерения.
Ток возбуждения датчика проходит через одну пару проводов, а измерение сопротивления осуществляется через другую пару. Это исключает ошибку, вызванную разным сопротивлением подводящих проводов. Этот способ более дорог, чем двух-или трехпроводные конфигурации (особенно при длинных линиях связи), но это лучший способ обеспечения высокой точности измерения.
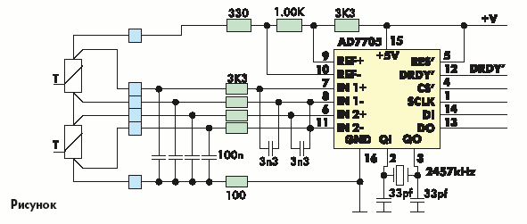
Еще хотелось бы привести достаточно удачную схему подключения двух РДТ, опубликованную на сайте caxapa.ru (см.рисунок). Здесь используется четырехпроводная схема подключения и логометрический метод измерения. По утверждению авторов, она обладает следующими характеристиками:
- 16-разрядное разрешение;
- реальная точность 0,02 °С (при использовании 100-омных датчиков);
- удаление схемы измерения от дачика до 500 метров;
- возможность применения 100,500 или (max) 1000-омных датчиков.

Следует отметить, что здесь точность и стабильность измерения определяются не только параметрами датчика, но и точностью и стабильностью резистора 1,00 кОм, включенного между REF+и REF-, поэтому рекомендуется использовать высокоточный и высокостабильный резистор типа С2-29С.
Саморазогрев
Как известно, для измерения сопротивления необходимо пропустить через него ток. Протекающий ток вызывает нагрев резистора, поэтому температура, измеряемая датчиком, будет всегда слегка выше фактической. Саморазогрев сильно зависит от среды, в которую помещен датчик. Например, саморазогрев датчика на воздухе может быть в 100 раз выше, чем в воде.
Точность, стабильность и повторяемость
Эти три термина часто путают, поэтому важно понять их различие.
Точность
Стандарт IEC 751 определяет два класса точности —класс «A » и класс «B »:
- Класс «A »:t =±(0,15 +0,002 •|t |)
- Класс «B »:t =±(0,30 +0,005 •|t |)
- где:|t |— абсолютная температура в °C.
Класс «A » применяется для датчиков, работающих в температурном диапазоне от –200 до 650 °C, и только для трех-или четырехпроводной схемы подключения.
Класс «B » охватывает полный диапазон температур от –200 °C до 850 °C.
Стабильность
Стабильность — это способность датчика поддерживать свое неизменное сопротивление при постоянном входном воздействии. Физические или химические воздействия могут вызывать дрейф градуировки. Кроме этого, так как платина — материал достаточно жесткий, то провод на сердечнике или на подожке может расширяться или сжиматься, вызывая его деформацию и ухудшение стабильности. Дрейф, обычно указываемый изготовителями, составляет обычно 0,05 °C/год.
Повторяемость
Повторяемость — это способность датчика иметь неизменную характеристику в течение длительного времени при идентичных условиях применения. Во многих случаях не требуется получения абсолютной точности, а все внимание обращается на стабильность и повторяемость характеристик датчика. Если, например, РТД в точке 100,00 °C всегда показывает 100,06 °C, то схема обработки всегда может легко компенсировать эту ошибку. Повторяемость характеристик датчиков исключительна, в большинстве случаев она составляет 0,05 °C в течение пяти лет.
Время выхода на режим
Время выхода на режим — это способность датчика реагировать на изменение температуры объекта. Оно зависит от тепловой массы датчика, а также близости и места распо ожения по отношению к измеряемому объекту, то есть от конкретной схемы измерения температуры. Например, датчик, помещенный в термокарман, реагирует на изменение температуры более медленно, чем тот же самый датчик, помещенный непосредственно в процесс. Технические требования определяют постоянную времени датчика как время, необходимое датчику для того, чтобы при ступенчатом воздействии температуры его показание составило 63% от амплитуды ступеньки. Время выхода на режим рассчитывается как при помещении датчика в воду, текущую со скоростью 0,2 м/с, и так и в воздух, текущий со скоростью 1 м/с.
Алексей Чистяков
|