|
Реализация УКВ-передатчика
с контроллером на одном кристалле
Компания Microchip предлагает два однокристальных устройства, состоящих из микроконтроллера PICmicro и УКВ АМ/ЧМ-передатчика 310 –470 МГц. Описываемые микросхемы предназначены для систем ограничения доступа, управления и передачи информации. В этой статье будут поверхностно рассмотрены вопросы работы микросхем и варианты их применений.
Внедавнем прошлом устройства радиосвязи (системы управления) имели очень простую, однонаправленную структуру. Из-за ограничений в стоимости системы подобные устройства основывались на релейной манипуляции LC или передатчиках ПАВ (поверхностных акустических волн), которые состояли из: простейшего генератора на одном транзисторе; модулирующего ключа, управляющего питанием генератора; микросхемы кодера, контролирующей состояние кнопок и выполняющей простейшее кодирование. В качестве приемника для такого передатчика обычно применялся приемник прямого усиления или регенеративный приемник ПАВ, который можно реализовать на нескольких транзисторах.
Позволяя реализовывать более сложные методы модуляции, новые микроконтроллеры могут найти применение в таких приложениях, как встраиваемые удаленные датчики (воды, газа, электроэнергии), системы дистанционного управления, игрушки, домашние сигнализации и системы ограничения доступа, датчики давления шин транспортных средств, датчики дыма, датчики уровня и удаленные инфракрасные датчики.
Модуляция АМн/ЧМн
Микросхема rfPIC12C509AG — это передатчик с АМн (амплитудной манипуляцией), основанный на ФАПЧ (фазовая автоподстройка частоты), в то время как rfPIC12C509AF может генерировать АМн и ЧМн (частотную манипуляцию). Для работы передатчика необходимо несколько конденсаторов и пассивная RC-цепочка петли ФАПЧ. Несущая частота сигнала в диапазоне 310 –470 МГц достигается за счет умножителя частоты генератора на 32. В состав высокочастотной части микросхемы входит: логика управления; схема кварцевого генератора; схема ФАПЧ; генератор, управляемый напряжением (ГУН); усилитель мощности. Сигнал с ФАПЧ подается на усилитель мощности с дифференциальным выходом. Усилитель имеет выходы с открытым коллектором, что позволяет сделать петлевую антенну с требуемым импедансом в виде проводника на свободном месте печатной платы. Также к выходу усилителя можно подключить готовые высокоэффективные антенны через согласующий трансформатор, который может выполнять функции НЧ-фильтра для выполнения требований по внеполосным излучениям. Выходная мощность может быть выбрана от –12 до +2 дБм (шесть дискретных уровней). Усилитель мощности автоматически выключается при блокировке схемы ФАПЧ. Усилитель мощности включается, когда на выводе PS/DataIn присутствует высокий логический уровень сигнала.
УКВ-передатчик АМн/ЧМн
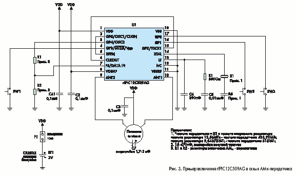
Сопоставляя американские и европейские требования к использованию радиосредств, можно увидеть, что в США обычно используется АМн, в то время как ЧМн более популярна в Европе. Кристалл rfPIC12C509AG содержит АМн-передатчик с управляемым (вкл./выкл.) усилителем мощности и может передавать данные со скоростью до 40 кбит/с.rfPIC12C509AF поддерживает оба вида модуляции (АМн/ЧМн) и для реализации ЧМ имеет в своем составе ключ для подключения дополнительной емкости к кварцевому резонатору, обеспечивая скорость передачи данных до 20 кбит/с. На рис.1 показаны rfPIC12C509AG/AF с передатчиком 310 –470 МГц на основе ФАПЧ и интегрированным микроконтроллером PICmicro.

Кварцевый генератор
Кварцевый генератор передатчика имеет традиционную схему, он предназначен для формирования опорной частоты для схемы ФАПЧ.

В rfPIC12C509AG/AF кварцевый генератор может быть настроен для работы в режиме АМн-передатчика. На рис.2 представлена схема кварцевого генератора для формирования опорной частоты, которая является частью схемы АМ-передатчика. Конденсатор С1 предназначен для изменения емкости резонатора и подстройки нужной частоты генератора (см.на рис.3).

В rfPIC12C509AF кварцевый генератор может использоваться для реализации ЧМн. На рис.4 представлена схема генератора в режиме ЧМн-передатчика. За счет конденсаторов С1 и С2 можно смещать резонансную частоту кварцевого резонатора, тем самым осуществляя модуляцию ЧМн.
Когда DATAFSK =1, вывод FSKOUT находится в состоянии высокого импеданса, фактически к кварцевому резонатору подключен только конденсатор C1, передается сигнал с частотой f MAX . Если DATAFSK =0, то вывод FSKOUT соединен с землей, конденсаторы С1 и С2 будут включены параллельно, передается сигнал с частотой f MIN . Выбором значений емкости конденсаторов C1 и C2 можно подобрать частоту передатчика и отклонение частоты. Конденсатор C1 устанавливает f MAX, а параллельно включенные C1 и C2 —f MIN . График на рис.4 демонстрирует описанные соотношения.

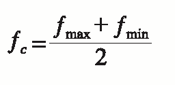
Центральная частота передатчика f C определяется как

Пиковое отклонение (девиация) частоты передатчика можно вычислить по следующей формуле:


Блок ФАПЧ с токовым выходом
В настоящее время наиболее часто используется схема ФАПЧ с токовым выходом. Преимущества токового выхода по верхнему активному фильтру петли не только в малом энергопотреблении, но и более низком шуме схемы. Причиной этого является то, что токовый выход находится в закрытом состоянии очень малый промежуток времени, таким образом снижая импульсный шум на входе ГУН. Микросхемы rfPIC предоставляют разработчикам дополнительную гибкость, так как можно применять петлевой фильтр, состоящий из одного резистора и двух конденсаторов. Разработчик может использовать номиналы элементов фильтра, приведенные в примерах, или вычислить их значения по представленным ниже уравнениям. На рис.6 показана блок-схема ФАПЧ с токовым выходом.

Основные уравнения для ФАПЧ с токовым выходом могут быть получены путем применения стандартного анализа из области систем частотного управления. В этом анализе рассматриваются изменения напряжения, частоты и фазы как незначительное изменение сигнала относительно опорной точки.
Таблица
| Несущая частота (МГц) |
K 0 (МГц/В) |
R (Ом) |
C1 (пФ) |
C2 (пФ) |
Частота петли (кГц) |
Сдвиг фазы (градусов) |
| 315 |
240 |
680 |
3900 |
680 |
175 |
47 |
| 434 |
200 |
1000 |
3900 |
390 |
220 |
52 |
Система управления остается устойчивой, если сдвиг фазы в петле меньше 360 градусов на всех частотах, для которых петлевой коэффициент усиления более единицы. Для анализа необходимо использовать нормализованную форму второго порядка, что позволяет получить определение некоторых параметров, делая работу петли интуитивно понятной. Интересуемыми параметрами петли являются: собственная частота —w n ; коэффициент демпфирования —z . Собственная частота — фактическая частота, на которой петля находится в стабильном состоянии, но в полосе пропускаемых частот петли того же порядка. Коэффициент демпфирования определяет уровень стабильности петли. Петля устойчива, если z >0; имеет наивысшую скорость регулирования, если z =0,707; имеет заметное возбуждение, если z <1. Пренебрегая добавленным C2, указанные параметры петли можно вычислить по формулам:


Анализируя представленные выше формулы, получаем следующие уравнения:


В этих уравнениях C — конденсатор C1, показанный на рис.6. Второй конденсатор C2 обычно подключают параллельно RC-цепочке идеального фильтра петли второго порядка, получая петлю третьего порядка и дополнительное смещение фазы. Второй конденсатор предназначен для подавления импульсных помех, вызванных работой токового выхода, с опорной частотой (частота кварцевого генератора в случае rfPIC12C509A). Если C2 < =0,1 .C1, то петля обычно работает как петля второго порядка. В этом случае представленные выше уравнения достаточно точны. C2 может иметь значение до 0,3 .С1, если необходимо, но нужно промоделировать работу схемы, чтобы гарантировать достаточный сдвиг фазы при больших значениях C2. Для rfPIC12C509A рекомендуется использовать петлю с натуральной частотой от 100 до 500 кГц. Время стабилизации петли примерно равно трем периодам натуральной частоты, что соответствует диапазону от 6 до 30 мкс. Однако кварцевый генератор имеет примерное время запуска 1 мс после включения питания. Программное обеспечение должно учитывать эти задержки.
В таблице представлены типовые параметры фильтра петли rfPIC12C509A для частот 315 МГц и 434 МГц. Значения были получены на основе представленных выше уравнений с последующим моделированием работы схемы в системе SPICE (для определения максимального значения C2, не допускающего слишком малого сдвига фазы сигнала). Для вычислений использовались следующие данные: выходной ток ключа I pd =250 мкА; коэффициент умножения N =32. Коэффициент усиления ГУН K0 колеблется от максимального значения в нижней части диапазона 320 МГц/В (преобразованных для уравнения к радианам/с/В) до минимального значения в верхней части диапазона 80 МГц/В.
Петлевые антенны для УКВ-передатчиков
Разработчик имеет полную свободу в выборе типа антенны, удовлетворяющего требованиям конструктива и соответствующего условиям эксплуатации радиосредств страны, в которой выпускается устройство.
Малогабаритные петлевые антенны хорошо подходят для применения в передатчиках для портативной аппаратуры. Выбор подобных антенн обуславливается низкой стоимостью, хорошей повторяемостью при изготовлении и устойчивой работой вблизи человеческого тела. Кроме того, передатчик в rfPIC12C509AG рассчитан на прямое подключение небольших петлевых антенн, которые выполнены в виде медного проводника на печатной плате устройства в форме прямоугольника или круга.
Достаточно легко вычислить индуктивность и емкость петлевой антенны. Однако есть больше требований к практической реализации антенны, чем к вычислению этих параметров. Антенна должна быть настроена на разрешенную частоту и соответствовать требованиям страны, в которой используется устройство. При правильном проектировании устройства эти требования выполняются с минимальными затратами.
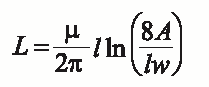
Петлевая антенна фактически представляет собой катушку индуктивности с одним витком. Простую, но достаточно точную оценку индуктивности петлевой антенны из одного витка на печатной плате дает следующая формула:

где µ=4 p .10 –7,l — периметр петли, w — ширина медного проводника, A — площадь петли.
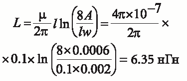
Например, рассчитаем индуктивность петлевой антенны со следующими параметрами: прямоугольный размер петли 20x30 мм; ширина проводника 2 мм; периметр петли 0,1 м; площадь петли 0,0006 м2

Зная индуктивность контура, можно вычислить емкость, которая приведет петлевую антенну к резонансу на частоте передатчика. Изменяя знакомое уравнение для вычисления резонансной частоты контура, получаем:

где L — индуктивность петлевой антенны на печатной плате,w =2 p f и f — частота передатчика.
Например,для нашей антенны 20x30 мм и частоты передатчика 434 МГц вычислим значение емкости, когда антенна настроена на частоту передатчика:

Требования и специфика проекта
Требования,связанные с использованием диапазона УКВ, могут серьезно запутать разработчика при проектировании УКВ-передатчика, если соответствующие инструкции разбросаны по многочисленным документам. Ответственность инженера и поставщика изделия в том, что выпускаемые устройства должны соответствовать требованиям страны, в которой они эксплуатируются. Устройства rfPIC позволяют создавать изделия, соответствующие как стандарту США FCC часть 15, так и европейским стандартам ERC70-03E и EN300 220-1.
Willem Hijbeek, Farron Dacus, Jan van Niekerk, Steven Bible
|