Частотный метод анализа характеристик синтезаторов частот с импульсно-фазовой автоподстройкой частоты Analog Devices.
Часть 1. Структура кольца ФАП и фильтрация помех
Качественные параметры синтезаторов частот фирмы ADI серии ADF4000 можно реализовать в полной мере лишь тогда, когда разработчик РЭА хорошо представляет как физические процессы, протекающие в кольце ФАП, так и теорию работы систем ФАП, астатических по параметру, в нашем случае - по фазе. Но сначала посмотрим, как можно построить однокольцевой синтезатор частот.
Структуры синтезаторов частот с кольцом ИФАП
Синтезаторные системы с импульсно-фазовой автоподстройкой частоты (ИФАП) называют активными цифровыми синтезаторами частоты (ЦСЧ), в отличие от пассивных ЦСЧ, или DDS-синтезаторов (Direct Digital Synthesis).
Кольца ИФАП называют активными ЦСЧ потому, что они содержат источник вторичных колебаний — перестраиваемый генератор (ПГ); обычно это генератор управляемый напряжением (ГУН).
Колебание ГУН всегда присутствует на выходе кольца ФАП — вне зависимости от того, в синхронизме кольцо или нет, даже при исчезновении опорного колебания.
Как правило, частотно-фазовый детектор (ЧФД) в этом случае формирует на своем выходе низкое управляющее напряжение и частота ГУН находится в самой нижней части его диапазона перестройки.
Разумеется, частота ГУН не будет когерентна опорному колебанию, что неприемлемо. Поэтому на выходе каждого синтезатора серии ADF4000 имеется режим «контроль синхронизма» (Lock Detect), позволяющий индицировать наличие или отсутствие синхронизма в кольце [1,2].
На выходе пассивных ЦСЧ колебание пропадает пр и исчезновении входного колебания, что позволяет однозначно судить о работоспособности устройства.

Все «дерево реализаций» синтезаторных систем ФАП можно свести к обобщенной структурной схеме, показанной на рис. 1. Сумматор частот между перестраиваемым генератором (ПГ) и конечным автоматом (КА) может отсутствовать; если в качестве КА используют делитель с переменным коэффициентом деления (ДПКД) — тогда отсутствует и компенсатор помех (КП) дробности. Возможные типы активных синтезаторов частот на основе колец ИФАП приведены на рис. 2.

Тракт приведения частоты ГУН к частоте сравнения — ДПКД или дробно-переменный ДПКД (ДДПКД) — не что иное, как разновидность цифрового КА. Фирма ADI в некоторых случаях рекомендует использовать в тракте приведения в качестве КА DDS-синтезаторы типа AD983x или AD985x.
Иногда в КА используют составной делитель: вначале делят частоту перестраиваемого генератора (ПГ) с помощью СВЧ-делителя с постоянным, но небольшим коэффициентом деления M, а потом подключают ДПКД (ДДПКД). Такое построение КА вынужденное, оно вызвано конечным быстродействием элементной базы.
Современные СВЧ-делители имеют коэффициент деления M, равный 2, 4 или 8 и максимальную входную частоту до 15 ГГц.
При такой реализации КА для обеспечения заданного шага сетки приходится понижать частоту сравнения в кольце в M раз.
Напомним, что конечный автомат КА является цифровым устройством, обладающим конечной памятью (конечным числом устойчивых состояний) и изменяющим свои состояния в дискретные моменты времени.
Компенсатор помех может понадобиться, например, для амплитудной, фазовой или алгоритмической компенсации помех дробности, как в синтезаторе ADF4252.
- Амплитудная компенсация помех дробности применяется чаще всего вследствие своей относительной простоты.
- Фазовая или временная компенсация помех дробности применяется реже; ее можно реализовать с помощью управляемого устройства задержки (УУЗ), включенного между выходом ДДПКД и входом ЧФД. В качестве УУЗ можно использовать микросхемы Digitally Programmable Delay Generator AD9500 или AD9501, а также микросхему Pulse Width Modulator AD9561.
- Алгоритмическую компенсацию помех дробности можно реализовать двояко. Можно, например, использовать специальный алгоритм управления дробностью, при котором дробность образуется не минимальным набором коэффициентов деления ДДПКД N и N+1, а расширенным набором коэффициентов N-2, N-1, N, N+1, N+2 и т. д.
В этом случае можно так подобрать чередование N, что самые низкочастотные помехи дробности будут подавлены, причем чисто цифровым способом. Подавление (компенсация) НЧ-помех позволяет расширить полосу пропускания кольца ИФАП, что благотворно влияет на уровень фазовых шумов в ближней зоне.
При втором подходе поступают иначе — вводят рандомизацию импульсного потока на выходе ДДПКД. Для этого коды управления коэффициентом деления N меняют по псевдослучайному закону с помощью ПСП— псевдослучайной последовательности с нулевым средним.
Период временной неравномерности резко возрастает или, что то же самое, резко уменьшается минимальная частота помех дробности. При одной и той же подводимой мощности амплитуда помех дробности уменьшается вследствие увеличения числа спектральных компонентов. Правда, спектральная линия при этом «уширяется», что не всегда приемлемо.
Сумматор частот на входе КА тракта приведения служит для понижения частоты ПГ до значений, при которых начинают работать делители микросхемы синтезатора. Следует помнить, что вводимое в кольцо колебание «подставки» FLO должно быть когерентно опорному, в противном случае будет иметь место свертка спектра.
Эффект свертки спектра заключается в том, что на выходе ИФД (ЧФД) образуется спектр вида FDET = r х FREF± n х (F0± FLO)/N, где r = ±1, ±2, …; n = ±1, ±2, … Когда частоты F0 и FLO являются гармониками FREF, ничего страшного не происходит. Но как только частота FLO станет не кратной FREF, на выходе ИФД (ЧФД) выделится разностная частота и ее гармоники.
Комбинационные частоты обязательно попадут внутрь полосы прозрачности петлевого ФНЧ, что приведет к паразитной угловой модуляции ПГ. А поскольку эффект свертки спектра — результат сугубо нелинейного процесса, никакие методы линейной фильтрации не помогут. Поэтому необходимо обращать внимание на качество любого внешнего колебания, вводимого в синтезаторное кольцо ИФАП.
Астатизм в кольце ФАП можно обеспечить с помощью интегрирующего звена, подключенного параллельно цепи управления ПГ.
По способу реализации интегратора различают системы:
- астатической ФАП (АФАП) с интегрирующим электродвигателем;
- с интегратором на операционном усилителе;
- с интегрирующим генератором;
- с цифровым интегратором на реверсивном счетчике или накапливающем сумматоре (НС) и цифро-аналоговом преобразователе (ЦАП);
- астатической ФАП с частотно-фазовым детектором [3].
Предварительные замечания
Прежде чем продолжить дальнейшее рассмотрение характеристик ФАП, следует сделать три важных замечания.
Во-первых, любая современная синтезаторная система ФАП является импульсной — ИФАП. Поэтому при анализе и расчете ее работы нужно помнить, что фильтрующие свойства любой импульсной системы автоматического регулирования (САР) заканчиваются на половинной частоте дискретизации, а применительно к ИФАП — на половинной частоте сравнения FОП = FREF. Особенно это обстоятельство надо помнить при расчете петлевого фильтра кольца.
Во-вторых, при анализе фильтрующих свойств петли ИФАП ее считают линейной САР, несмотря на то, что характеристики отдельных звеньев могут иметь ярко выраженную нелинейность.
Такой подход объясняется тем обстоятельством, что в статическом режиме система ИФАП находится в точке устойчивого равновесия — синтезирует требуемую частоту с заданным качеством.
Качество синтезируемого колебания требуется высокое — уровень фазовых шумов, например, должен находиться ниже уровня несущей на 70–170 дБ в зависимости от отстройки от несущей, уровень дискретных побочных спектральных составляющих (ПСС) не должен превышать –60… –80 дБ и т. д.
Обеспечение указанных величин подразумевает малую величину помех, воздействующих на элементы синтезаторного кольца ИФАП.
Поэтому в ближних окрестностях точки устойчивого равновесия нелинейные коэффициенты передачи отдельных звеньев можно заменить касательными в точке, то есть линеаризировать систему. Ошибка линеаризации будет тем меньше, чем жестче требования к параметрам системы и лучше полученные результаты [1].
Наконец, в-третьих, при анализе фильтрующих свойств петли ИФАП ее считают непрерывной САР. Такое допущение кажется нелогичным, но оно оправдано. Действительно, синтезаторное кольцо ИФАП является достаточно инерционной САР — переходный процесс с точностью до небольшой фазовой ошибки может заканчиваться через 100–500 периодов частоты сравнения, в зависимости от полосы прозрачности кольца и его амплитудно-частотной (АЧХ) и фазо-частотной (ФЧХ) характеристик.
К тому же для обеспечения малого уровня дискретных ПСС часто «утяжеляют» петлевой фильтр — вводят дополнительные звенья, что также увеличивает инерционность кольца.
Поэтому в подавляющем большинстве случаев постоянная времени петлевого фильтра много больше периода дискретизации в кольце — периода сравнения FОП, и «дискретностью» системы при анализе ее фильтрующих свойств можно пренебречь.
Непрерывность и линейность модели синтезаторной системы ИФАП позволяет пользоваться хорошо освоенным в инженерной практике частотным методом анализа, а именно асимптотическими логарифмическими амплитудно-частотными (ЛАЧХ или ЛАХ) и фазо-частотными (ЛФЧХ или ФЧХ) характеристиками [1–4].

Заметим, что в явном или неявном виде практически все ведущие производители микросхем PLL используют частотный метод анализа фильтрующих свойств кольца на своих интерактивных страничках.
Так, на сайте Analog Devices www.analog.com/pll есть страничка, на которой представлена интерактивная программа ADIsimPLL для расчета синтезаторного кольца ИФАП, собранного с использованием микросхем серии ADF4000, а также программа расчета фильтра нижних частот Loop Filter Design.
При наличии некоторого начального опыта с помощью оценочной платы evaluation board EVAL-ADF4*** можно получить параметры элементов петлевого фильтра кольца, однако при изменении исходных данных кольца (диапазон выходных частот, шаг сетки синтезируемых частот, крутизна управляющей характеристики перестраиваемого генератора ГУН и т. д.) расчет придется повторить не один раз. К тому же часть исходных параметров для расчета необходимо задавать волевым способом — это и выбор выходного тока ЧФД, и число звеньев петлевого фильтра, и полоса пропускания петли ИФАП.
Поэтому гораздо лучше уметь самому определять параметры кольца ИФАП и представлять изменения выходных характеристик синтезатора, прежде всего спектральных, при изменении каких-либо его параметров.
Основы теории ФАП
Для синтеза сетки частот используют кольца ИФАП (Phase Locked Loop — PLL).
Поскольку полезным продуктом любой системы синтеза частот (ССЧ) является его выходное колебание, к основным техническим характеристикам ССЧ относят показатели качества этого колебания. И анализ систем ИФАП, как систем синтеза, проводят в первую очередь с указанных позиций [2].
Система ФАП, как следует из ее названия, является системой автоматического регулирования, частота настройки которой определяется частотой опорного сигнала, а сигналом рассогласования является разность фаз опорного сигнала и сигнала обратной связи.
У синтезаторной системы ИФАП, кроме того, выходная частота является функцией параметра системы — коэффициента деления N.
В связи с тем, что настройка осуществляется по разности фаз, система является астатической по отношению к частоте. В установившемся режиме частота настройки ГУН статистически, то есть с нулевым средним на интервале наблюдения точно равна (или кратна в целое число раз) частоте опорного сигнала (частоте сравнения) — как говорят, опорное и синтезируемое колебания когерентны.
Система ИФАП с ЧФД может быть астатической и по фазе. Наряду с основным свойством автоподстройки, система ФАП обладает свойством фильтрации и ведет себя независимо от функционального назначения как следящий полосовой фильтр высокого порядка.
Порядок следящего фильтра определяется параметрами петлевого ФНЧ.
Различают два основных режима работы петли ФАП.
Первый режим — динамический. Он возникает во время переходных процессов, например, при перестройке с частоты на частоту, в момент включения или выключения питания, во время принудительной модуляции и т. д.
Исторически анализу процессов в этом режиме уделялось значительное внимание, поскольку при перестройке и вхождении в синхронизм в системе проявляется нелинейность элементов кольца, а управляющие (возмущающие) воздействия велики.
Нелинейность коэффициентов передачи отдельных звеньев существенно влияет как на время переходных процессов, так и на параметр кольца, называемый коэффициентом захвата — gЗ = DwЗ/ DwУ, где DwЗ — полоса частот, в интервале которых система входит в синхронизм при любых условиях, и, прежде всего, при любых начальных расстройках частоты ГУН относительно частоты опорного колебания; DwУ — полоса частот удержания (захвата или синхронизма), то есть тот диапазон частот перестройки ГУН, при котором в системе сохраняется режим синхронизма при любых начальных условиях и воздействиях.
Отметим, что gЗ Ј 1 (рис. 3) и принципиально обладает гистерезисом. В практической плоскости проблема потеряла остроту после появления частотно-фазовых детекторов (ЧФД), при использовании которых обеспечивается gЗ = 1.
Второй режим работы петли ФАП — статический. Это основной режим работы. Переходные процессы в системе завершены, и петля ФАП находится в стационарном режиме в точке устойчивого равновесия.
Анализ процессов, происходящих в петле ФАП в статическом режиме в условиях воздействия малых помех, называют анализом устойчивости кольца «в малом», в отличие от анализа устойчивости «в большом» при анализе динамических параметров системы.
Именно для анализа системы «в малом», анализа фильтрующих свойств системы и ее расчета подходит разновидность частотного метода на основе асимптотических ЛАХ и ФЧХ.
В обобщенном виде любая система ФАП, независимо от ее назначения, содержит измерительное устройство с вычитателем на входе — фазовый детектор (ФД) и объект регулирования — ПГ. Как правило, это ГУН, выход которого подключен к вычитателю.
Хотя вместо ГУН может использоваться ГУТ — генератор управляемый током, например, в ЖИГ-генераторах (СВЧ ПГ на железо-иттриевом гранате).
В вычитателе сравниваются фазы входной опорной частоты FОП = FREF и приведенной частоты (с выхода ГУН) FN. В результате вычитания в ФД на вход петлевого фильтра попадает только напряжение ошибки между фазой опорного колебания и фазой приведенного колебания ГУН. Обратная связь для полезного продукта (частоты) отсутствует.
Обобщенная структурная схема однопетлевой САР с отрицательной обратной связью приведена на рис. 4.

Передаточная функция системы

где xOUT и xIN — выходная и входная величины, KDIRECT(s) и KREVERS(s) — передаточные функции цепей прямой передачи (от входа возмущающего воздействия к выходу системы ФАП) и отрицательной обратной связи (от выхода ГУН ко входу опорного сигнала), G(s) — коэффициент передачи разомкнутой системы ФАП, s или p — оператор Лапласа (s є a + j x w), а знак плюс в знаменателе означает, что обратная связь отрицательная.
Здесь j — комплексное число, обозначающее единичный вектор, а w — круговая частота.
Чтобы система ФАП была устойчивой, необходимо, чтобы в уравнении 1+ G(s) = 0 не было корней с положительными a, то есть расположенных в правой полуплоскости комплексной частоты s.
В теории САР доказывается, что система ФАП будет устойчивой, если в области частот w, где аргумент G(jw) по абсолютному значению превышает p, модуль G(jw) будет меньше единицы.
Отметим еще раз, что, несмотря на то, что выходной величиной в системе ФАП является частота, в ФД сравниваются не частоты, а фазы напряжений на его входах.
Частотные характеристики
Для оценки установившихся режимов удобно рассматривать поведение элементов и систем при воздействиях, являющихся периодическими функциями времени [4]. Гармонические воздействия были выбраны вследствие нескольких обстоятельств.
Во-первых, большинство реально встречающихся воздействий может быть представлено в виде суммы гармоник различных частот.
Во-вторых, в установившихся режимах гармонические сигналы передаются линейными элементами и системами без искажений.
В-третьих, не возникает затруднений в экспериментальном исследовании поведения линейных элементов и систем при гармонических воздействиях.
Амплитудно-частотная (АЧХ) и фазо-частотная (ФЧХ) характеристики показывают, что линейный элемент или система изменяют амплитуду и фазу гармонического сигнала.
Частотные характеристики линейного элемента или системы зависят только от их свойств, но не зависят от амплитуды или фазы входных гармонических воздействий.
Частотные характеристики элемента или системы связаны с их передаточными функциями (коэффициентами передачи). Подставив в передаточную функцию K(s) вместо s мнимую частоту jw, получим частотную передаточную функцию K(jw). Последняя может быть представлена в алгебраическом виде:

где

Можно записать:

Сделаем еще одно важное замечание. Передаточную функцию, не имеющую нулей или полюсов в правой полуплоскости s, называют функцией минимальной фазы, а систему, имеющую такую передаточную функцию — системой минимально-фазового типа.
Такое название обязано тому примечательному факту, что среди устойчивых систем с заданной АЧХ минимально-фазовая система имеет минимально возможное изменение фазового сдвига при изменении частоты w от нуля до бесконечности.
К тому же в системах минимально-фазового типа АЧХ и ФЧХ имеют взаимно однозначную зависимость. Это означает, что если известна одна из указанных характеристик, то другая может быть однозначно определена расчетным путем.
При построении логарифмических АЧХ (ЛАЧХ или ЛАХ) по оси абсцисс откладывают безразмерную частоту в логарифмическом масштабе. Это означает, что частота нормирована к какому-то своему значению, например, к 1 Гц, к частоте среза кольца wСР и т. д.
Нуль оси абсцисс лежит слева в бесконечности, поскольку lgw= – z Поэтому ось ординат может пересекать ось абсцисс в любой удобной точке. По оси ординат ЛАХ откладывают при равномерном масштабе логарифмическую амплитуду L = 201g K, то есть нормированный, например, к 1 коэффициент передачи, выраженный в дБ.
Нуль логарифмической амплитуды соответствует K = 1. У логарифмической ФЧХ такая же ось абсцисс, а по оси ординат откладывают фазу в градусах или радианах.
Во многих случаях ЛАХ можно изобразить отрезками прямых (асимптотами); для построения асимптотических ЛАХ нужны весьма простые вычисления [2, 4].
Например, в случае интегратора, K = k/w, L = 20lg k – 20lg w. При w = 1 имеем L = 20lg k и на протяжении одной декады (при увеличении w в 10 раз) L уменьшается на 20 дБ. ЛАХ представляет собой бесконечную прямую, проходящую через точку с координатами [1; 20lg k].
Для звена активного интегрирующего фильтра

В этом случае 
В области низких частот w2T2 << 1 имеем L " 20 lg k. Это низкочастотная асимптота — полубесконечная прямая, параллельная оси абсцисс.
В области высоких частот w2T2 >> 1 имеем L " 20 lg k – 20 lg wT. Это высокочастотная
асимптота — полубесконечная прямая, которая уменьшается со скоростью 20 дБ/дек = 6 дБ/окт.
Асимптотическая ЛАХ образуется двумя полубесконечными прямыми, которые сопрягаются на частоте излома wИЗ = 1/T (рис. 5).

Анализ фильтрации помех кольцом ФАП
На рис. 6 приведена линеаризированная структурная схема синтезаторного кольца ИФАП, предназначенная для анализа его фильтрующих свойств со следующими обозначениями:
- n — малые помехи, приходящие с опорным колебанием;
- d — малые помехи, воздействующие на вход управления ГУН;
- e — малые помехи, воздействующие на выходное колебание ГУН;
- измеритель (Error Detector) включает в себя собственно фазовый детектор PD (Phase Detector) и источник тока поддержания заряда CP (Charge Pump) с изодромным звеном;
- KD — крутизна статической характеристики ЧФД [рад/А] в точке устойчивого равновесия;
- K(jw) — коэффициент передачи петлевого фильтра (Loop Filter) или фильтра нижних частот (ФНЧ);
- KV — крутизна управляющей характеристики ГУН [Гц/В];
- q — малые помехи в выходном колебании кольца;
- 1/N — коэффициент передачи делителя (частоты) с переменным или дробно-переменным коэффициентом деления (ДПКД или ДДПКД) в тракте приведения частоты ПГ.

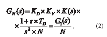
Запишем для коэффициента передачи разомкнутого кольца:

где G1(s) — операторный коэффициент передачи разомкнутого кольца с единичной обратной связью (N = 1). Для качественного (предварительного) анализа фильтрующих свойств кольца ФАП удобно считать, что петлевой ФНЧ отсутствует и K(s) = 1.
Характеристики бесфильтрового кольца с единичной обратной связью наиболее просты в построении и наглядны при анализе; с ними удобно сравнивать характеристики более сложных колец ФАП.
Коэффициент передачи на выход системы ФАП фазовых шумов n опорного сигнала, фазовых возмущений d и e, вызванных помехами, воздействующими на цепь управления ПГ и на собственно ПГ, можно представить в следующем виде:


ЛАХ G1(s), Ф1n(s), Ф1e(s) бесфильтрового кольца ФАП с единичной обратной связью приведены на рис. 7. Из рис. 7 и формул (2–5) следует, что для помех, приходящих с опорным колебанием, кольцо ФАП является фильтром нижних частот, в то время как для помех, воздействующих на ПГ (ГУН), кольцо ФАП является фильтром верхних частот.

Сказанное означает, что в области фазовых возмущений слева от частоты среза кольца ФАП (рис. 7) кольцо компенсирует воздействия и делает это тем эффективнее, чем шире полоса прозрачности кольца (выше его частота среза wСР) и ниже частота возмущения.
Например, кольцо эффективно отслеживает изменения параметров элементов вследствие старения, температурные уходы ПГ; несколько хуже — воздействия механических вибраций, еще хуже, но еще эффективно — воздействие помех по цепям питания.
А ВЧ-наводки на ПГ кольцо пропускает на выход без ослабления — в этом случае помогает рациональная топология и экранирование. Зато низкочастотные вариации частоты опорного колебания кольцо беспрепятственно пропускает на выход.
Для помех, воздействующих на вход управления ПГ (варикапы ГУН) кольцо ФАП является низкодобротным полосовым фильтром, подчеркивающим приходящие помехи в области частот от излома изодромного звена wИЗ до частоты среза кольца wСР.
Крайний правый излом на ЛАХ рис. 6 вызван наличием петлевого фильтра с коэффициентом передачи K(s) и частотой излома wПФ.
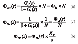
Для синтезаторного кольца формулы (3–5) изменяются:

Соответствующие формулам (6–8) графики показаны на рис. 8–10. Там же для сравнения пунктиром приведен график G1(w) для кольца с единичной обратной связью.



Формулы (6–8) и графики рис. 8–10 показывают, как изменяются фильтрующие свойства кольца при введении делителя на N в цепь обратной связи. Важный для практики вывод заключается в том, что зона компенсации помех, воздействующих на ПГ, существенно сужается. Так же существенно (в N раз) подчеркиваются низкочастотные флуктуации опорного колебания и помехи, воздействующие на вход управления ПГ.
Ухудшение фильтрующих свойств синтезаторного кольца ИФАП по сравнению с обычным аналоговым кольцом ФАП (следящим фильтром) есть плата за переход в новое качество — возможность синтеза сетки частот.
В следующей статье серии будут рассмотрены характеристики основных элементов системы ИФАП: перестраиваемого генератора, делителя с переменным коэффициентом деления, частотно-фазового детектора и петлевого фильтра нижних частот.
Литература
- Шапиро Д. Н., Паин А. А. Основы теории синтеза частот. М.: Радио и связь. 1981.
- Манассевич В. Синтезаторы частот (теория и проектирование). М.: Связь. 1979.
- Гуревич И. Н., Зарецкий М. М., Никитин Ю. А. Анализ и расчет фильтрации помех астатической системой ФАП // Электросвязь. 1994. No 8.
- Макаров И. М., Менский Б. М. Линейные автоматические системы. М., Машиностроение. 1977.
Юрий Никитин, к.т.н. Сергей Дмитриев
|