Рубликатор

 



























Все о псориазе



Тепловые характеристики интелектуальных силовых модулей

фирмы SEMIKRON

Технология SKiiP, разработанная специалистами фирмы SEMIKRON, позволила создать интеллектуальные модули с уникальными электрическими и тепловыми характеристиками и недостижимыми ранее показателями надёжности. Особенности конструкции модулей SKiiP требуют специального подхода к анализу их тепловых параметров.

Включение теплоотвода в конструктив модуля позволило существенно улучшить распределение тепла, снизить тепловые сопротивления пограничных слоев и повысить надежность работы схемы тепловой защиты. Кроме того, такая конструкция позволяет однозначно определить тепловую модель модуля и производить тепловой расчет с очень высокой точностью.

В модулях SKiiP керамическая DCB-плата с силовыми кристаллами напрессовывается непосредственно на теплосток. (Direct Copper Bonded — керамическая подложка с медными шинами связи, нанесенными диффузионным методом.) При такой конструкции исключается медное несущее основание, что устраняет основной дефект стандартных модулей — отслоение керамики от медного основания из-за рассогласования коэффициентов теплового расширения. Геометрия слоев модулей стандартного исполнения и модуля, изготовленного по технологии «pressure-contact », приведена на рис.1.

Геометрия слоев стандартного модуля и модуля SKiiP

Непосредственное соединение керамики и радиатора позволило не только обойтись без медной базовой платы, но и снизить толщину слоя теплопроводящей пасты до 20 мкм. В результате значительно уменьшилось значение суммарного теплового сопротивления и перегрев кристалла. Соответственно увеличивалась допустимая токовая нагрузка модулей, повысилась надежность и долговечность.

Температура силовых кристаллов модуля в наиболее напряженном электрическом режиме является важнейшим параметром, характеризующим правильность расчета рабочих режимов и определяющим надежность работы изделия.

Стандартная методика теплового расчета позволяет определить среднюю температуру кристалла силового транзистора относительно радиатора на основании значений тепловых сопротивлений «кристалл — корпус » R thjc и «корпус — теплоотвод » R thcs , приводимых в технических характеристиках, и величины средней рассеиваемой мощности. Чтобы определить температуру кристалла в импульсном режиме, используется график динамического теплового импеданса Z thjc , учитывающий рабочую частоту, длительность импульса проводимости и коэффициент заполнения импульсов. Для вычисления перегрева кристалла относительно окружающей среды необходимо также знать тепловое сопротивление радиатора R thsa. Эта величина зависит от площади, геометрии поверхности и материала радиатора, а также способа охлаждения.

Прямое измерение температуры кристалла модуля всегда представляло известную трудность, а в модулях с интегрированным теплостоком эта задача еще более усложнена. Однако методика теплового анализа SEMIKRON позволяет практически однозначно определить значения статических тепловых сопротивлений для всех конструкционных элементов от силового кристалла до поверхности радиатора и найти температуру кристалла аналитическим методом.

При «одномерных » расчетах с использованием стандартных методик значение теплового сопротивления связано с величиной рассеиваемой мощности Р следующим соотношением:

R thjx =(T j – T x )/P

где R thjx — тепловое сопротивление кристалла относительно некоторого элемента конструкции модуля, T j и T x — температура кристалла и соответствующего элемента. При этом необходимо учитывать следующие ограничения:
  1. Одним из косвенных способов определения температуры кристалла T j является метод измерения потенциала коллектор-эмиттер V CE открытого транзистора при небольшом токе (как правило, 100 мА). Температура, определенная таким образом, лежит между средними T M и крайними значениями T R . Девиация значений вызвана отрицательным температурным коэффициентом напряжения насыщения при малых токах коллектора. При параллельном соединении нескольких кристаллов определяется средняя температура между кристаллами.
  2. Линейная зависимость, подразумеваемая в формуле для R thjx, может не выполняться в сложных тепловых структурах из-за температурной зависимости тепловых параметров конструкционных материалов.
  3. Мощность рассеивается не только в силовом кристалле.
  4. Одномерные расчеты не учитывают разность в распределении тепла в различных направлениях разных материалов.

Статическое тепловое сопротивление

На рис.1 показана геометрия конструктивных слоев модуля SKiiP, стандартного модуля и размещение термодатчиков. Термопары, из- меряющие температуру теплоотвода (T heat sink ), устанавливаются в отверстия f2,5 мм под каждым кристаллом на расстоянии 2 мм от поверхности радиатора. При таком методе измерения учитываются тепловые характеристики перехода «DCB-керамика — теплоотвод ». Температура кристалла определяется,как было показано выше,с помощью измерения напряжения насыщения V CE. Характеристика V CE =f (T j ) предварительно калибруется с помощью нагрева модуля и измерения напряжения насыщения при фиксированном токе.

Динамическое тепловое сопротивление

Процесс теплового расчета можно автоматизировать с помощью программ схемотехнического моделирования. Для этого необходимо определить эквивалентную тепловую модель и заменить тепловые характеристики соответствующими электрическими. В таблице 1 приведены термодинамические и соответствующие им электрические характеристики.

Таблица 1. Соответствие электрических и тепловых характеристик

Электрические параметры Единицы измерения Термодинамические параметры Единицы измерения
Заряд Q К Тепловая энергия Q th Дж
Ток I A Тепловой поток P Вт
Напряжение U В Разность температур DТ °C
Сопротивление R Ом Тепловое сопротивление R th °C/Вт
Емкость С Ф Теплоемкость C th Дж/°C

При моделировании все слои, участвующие в процессе теплопередачи (модуль, теплопроводящая паста, теплосток на рис.1), рассматриваются как параллельные. Передача тепла в охлаждающую среду описывается с помощью дополнительного переходного слоя на нижней границе модуля. Параметры этого «виртуального » слоя определяются по значению статического теплового импеданса.

Далее все слои делятся на пространственные элементы, для которых определяются теплоемкость и тепловое сопротивление. В таблице 2 приведены значения тепловых сопротивлений и тепловые постоянные времени для транзисторов и диодов некоторых модулей SEMIKRON. Эти данные являются исходными для компьютерного моделирования. Трехмерную эквивалентную тепловую схему можно задать по аналогии с одномерной, приведенной на рис.2. Для определения эквивалентных тепловых характеристик конструктивных элементов используются их механические и тепловые параметры: размеры, теплопроводность, теплоемкость. Чтобы расчетные значения температуры кристалла и радиатора были максимально близки к измеренным, в эквивалентной модели регулируется толщина слоя теплопроводящей пасты и теплопроводность дополнительного слоя, описанного выше.

Таблица 2. Исходные данные для трехмерного моделирования

Тип модуля   R i ,K/Вт t I ,c
R 1 R 2 R 3 R 4 R 5 R 6 t1 t2 t3 t4 t5 t6
SKM40GD123 I
D
0,02285
0,03948
0,05058
0,14117
0,3685
0,6045
0,0952
0,1441
0,0217
0,0163
0
0,0517
2,3758
2,2293
0,1125
0,0863
0,0260
9,0234
0,0026
0,0033
0,0002
0,0017
1
0,0004
SKM100GB123 I
D
0,01279
0,00001
0,09649
0,25923
0,05912
0,15399
0,0116
0,0462
0
0,0363
0
0,0042
0,2119
277,94
0,0437
0,0598
0,0052
0,0234
0,0004
0,013
1
0,0018
1
0,0011
SKM400GB123 I
D
0,01851
0,000005
0,01886
0,06699
0,00671
0,04666
0,0059
0,0004
0
0,0108
0
0
0,1005
138,97
0,0527
0,0308
0,0155
0,0102
0,0021
0,0098
1
0,0008
1
1

Одномерная эквивалентная тепловая схема для моделирования

Необходимо также учесть, что тепло в модуле рассеивает не только транзистор, но и его антипараллельный диод. Причем одинаковый ток нагрузки протекает в течение одного рабочего периода через транзистор и оппозитный диод. Они расположены на некотором расстоянии друг от друга и это, естественно, влияет на процесс распределения тепла. Эквивалентная схема, учитывающая влияние диода,приведена на рис.3. Диод и транзистор представлены на ней в виде источников напряжения T coup/D1 и T coup/T2 , отображающих тепловое состояние диода D1 и транзистора T2, являющихся «тепловыми парами » транзистора T1 и диода D2 полумоста. Однако, когда кристаллы диодов и транзисторов установлены на одной керамической теплопроводящей подложке, как в модулях SKiiP и SKiM, их температуру можно считать одинаковой для упрощения теплового расчета. В случае, когда в схеме использованы дискретные модули и отсутствует тепловая связь транзистора и диода, тепловой расчет необходимо производить отдельно для каждого компонента. Для наиболее корректного расчета SEMIKRON определяет динамический тепловой импеданс раздельно для транзистора и диода, как показано на рис.4.

Эквивалентная тепловая схема SEMIKRON

Динамический тепловой импеданс транзистора и диода модуля SKM100GB123D

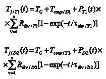
Для схемы, приведенной на рис.3, зависимость температуры кристалла от времени для транзистора (T j/T1 )и диода (T j/D2 )при заданной температуре теплостока T C вычисляется по следующим формулам:

При тепловых расчетах нас всегда в первую очередь интересует пиковая температура кристалла T jmax , которая может отличаться от средней температуры T javg , и эта разница зависит,в первую очередь, от частоты переключения транзистора и частоты огибающей сигнала. Средняя температура кристалла T javg — это произведение статического теплового сопротивления R thjc на среднее значение рассеиваемой мощности P totavg , которая зависит от энергии потерь за один импульс проводимости, частоты переключения f и среднего значения потерь проводимости:

Пиковая температура кристалла T jmax — это произведение динамического теплового импеданса Z thjc , найденного для определенного значения частоты и коэффициента заполнения D, и максимальной мощности за один импульс проводимости P totmax :

Сложность приведенных выражений, множество необходимых исходных данных еще раз доказывает, что корректный тепловой расчет немыслим без помощи компьютера. Компьютерный анализ тепловых режимов возможен благодаря возможности использования эквивалентных электрических схем. Эквивалентные схемы позволяют учитывать статические и динамические потери, анализировать режимы синусоидальной модуляции. Исходными данными для расчета являются рабочие режимы работы преобразователя: ток, напряжение, рабочая частота и электрические и тепловые параметры силового модуля.

Прямое измерение теплового сопротивления R thjc в модулях SKiiP, не имеющих медного основания, затруднено из-за нарушения нормального пути распределения тепла при сверлении контрольных отверстий в теплоотводе. Поэтому производится вычисление «виртуального » значения R thjc с помощью моделирования эквивалентной схемы. В качестве исходной берется температура DCB-платы под силовым кристаллом. В модулях SKiiP эта величина оказывается меньше, чем в модулях с медным основанием, в которых соединительный слой припоя и само основание оказывают значительное влияние на величину теплового сопротивления. Определенное аналитическим образом значение R thjc приводится в технических характеристиках, однако величины тепловых сопротивлений R thjh (R thjs ) и R thja являются наиболее информативными для модулей с интегрированным теплостоком.

Эквивалентная схема, приведенная на рис.3, оптимально подходит для моделирования многослойных конструкций. Цепочки R th C th, соединенные последовательно, имитируют тепловые характеристики слоев, участвующих в процессе теплопередачи. Напряжение в точке соединения цепочек отражает температуру соответствующего перехода. Например, для моделирования влияния внешнего теплоотвода можно добавить еще одну цепочку, в которой R th и C th определяют тепловое сопротивление и теплоемкость радиатора.

Описанные формулы и методики легли в основу полностью автоматизированной программы теплового расчета и выбора компонентов SEMISEL, разработанной специалистами SEMIKRON [4,5 ]. По своей точности, многообразию конфигураций и удобству пользования программа SEMISEL не имеет мировых аналогов.

Практические результаты

На рис.5 приведены графики зависимости динамического теплового импеданса от длительности импульса для модуля SKiM250GD128D. Один из графиков получен с помощью прямых измерений (measurement), второй с помощью моделирования (sim). Несовпадение графиков в диапазоне 1 –50 мс вызвано погрешностью измерения. Расхождение в диапазоне 0,5 –5 с объясняется конечным количеством объемных элементов трехмерной модели.

Измеренное и расчетное значение динамического теплового сопротивления «кристалл — окружающая среда» модуля SKiM250GD128D

Моделирование позволяет проанализировать тепловое поведение модуля без учета влияния теплоотвода. Как показано на рис.6, для длительностей импульса мощности,больших 1 с, тепловое сопротивление определяется только параметрами теплостока.Значение теплового импеданса «кристалл — теплоотвод » можно рассчитать с помощью простого вычитания Z thja и Z thha .

Расчетное значение тепловых сопротивлений

Моделирование дает возможность также определить значения тепловых сопротивлений для очень коротких импульсов, что важно для вычисления реакции на всплеск мощности при коротком замыкании, которая не поддается прямому измерению.

На рис.7 сравниваются графики теплового импеданса двух модулей аналогичной конструкции, силовые кристаллы которых имеют различную толщину. Рисунок демонстрирует, что разность в геометрических размерах кристалла влияет на тепловое сопротивление только при длительности импульса, меньшей 1 мс.

Расчетное значение теплового сопротивления

Высокая достоверность описанных методик позволяет осуществлять моделирование тепловых режимов модулей в различных режимах работы. Наиболее интересны режимы, оказывающие наибольшее влияние на температуру кристалла. Это, например, работа частотных приводов на низких оборотах или пусковые режимы. На рис.8 показаны временные эпюры температуры кристаллов одного плеча модуля SKM50GB123D (50 А/1200 В), в схеме 3-фазного инвертора для разных значений частоты выходного сигнала (для одной полуволны сигнала). Графики получены с помощью компьютерного моделирования трехмерных тепловых моделей SEMIKRON. Расчеты произведены для следующих условий работы:

  • напряжение силовой шины, V d =540 В;
  • выходной ток (среднее значение), I RMS =25 А;
  • частота ШИМ, f s =8 кГц;
  • cos j =0,8;
  • глубина модуляции, m =0,8;
  • температура теплоотвода, T C =50 °C

Тепловые режимы при различных частотах выходного сигнала

Графики демонстрируют, что в зависимости от рабочих режимов температура кристалла может резко отличаться от среднего значения. При частоте огибающей 50 Гц температура кристалла превышает среднее значение на 4 –5 °С. При уменьшении частоты эта разница становится все более существенной. Таким образом, при выборе компонента и тепловом расчете необходимо учитывать не только частоту переключений и температуру радиатора (или окружающей среды), но и диапазон выходных частот.

Еще один очень важный режим, влияющий на тепловое поведение силовых модулей частотно-управляемых приводов — это процесс запуска электродвигателя. На рис.9 приведены эпюры, полученные в результате моделирования и показывающие изменение температуры кристалла IGBT и антипараллельного диода при частотном пуске с постоянным моментом трехфазного привода электромотора.

Тепловые режимы при частотном пуске 3-фазного двигателя

Тепловой расчёт и надёжность

Надежность работы силового модуля во многом зависит от тепловых режимов его работы, в том числе от среднего значения температуры кристалла и флуктуаций температуры. На частотах ниже 3 кГц колебания температуры кристалла становятся достаточно заметными, тепловая инерция кристалла уже не обеспечивает их сглаживания. Перепады внешней температуры, изменения рабочего тока также создают колебания температуры кристалла и всей конструкции модуля. Многочисленные исследования показывают, что тепловые удары, воздействующие на силовой модуль в процессе его эксплуатации, являются основными факторами, определяющими его срок службы. Причина этого — механические перемещения элементов конструкции, возникающие из-за теплового расширения. Когда коэффициенты теплового расширения материалов не согласованы между собой, возникают механические напряжения, накапливаются усталостные процессы, возрастает тепловое сопротивление сопрягающихся слоев, увеличивается перегрев. В модулях SEMIKRON механические напряжения существенно снижены благодаря прижимной технологии, позволяющей элементам конструкции «плавать » при нагреве. Соответственно, конструкция SKiiP оказывается намного надежнее, что подтверждается результатами многочисленных испытаний [ 6 ].

В 1991 г. была принята европейская программа оценки технических решений «Technology Assessment ». В рамках этой программы советом по науке Швейцарии сформулированы требования по энергосбережению и надежности изделий силовой электроники, а также требования к системным и информационным технологиям LESIT (Leistungselektronik, Systemtechnik und Informationstechnologie). В процессе осуществления программы LESIT проводились многочисленные испытания надежности силовых модулей различных производителей [7 ].

Cрок службы модулей является функцией средней температуры кристалла T m и градиента температуры DT j . На рис.10 показана зависимость количества термоциклов до отказа от градиента при термоциклировании для различных значений средней температуры кристалла T m по результатам испытаний LESIT. Количество циклов до отказа N f связано со средней температурой кристалла T m =T jmin +DT j /2 в соответствии с выражением:

где k b — постоянная Больцмана. Выражение позволяет получить хорошую аппроксимацию результатов тестов с помощью метода наименьших квадратов по трем параметрам: константа А, показатель степени y и энергия активации E a .

Результаты испытаний по программе LESIT

Сравнение результатов статистического анализа для модулей SKIM3 и стандартных модулей

Сравнение результатов программы LESIT с результатами статистического анализа испытаний модулей SKIM SEMIKRON (рис.12) показало, что вероятность отказа 1% модулей SKIM ниже вероятности полного отказа выборки модулей стандартной конструкции в одинаковых температурных условиях.

Динамический тепловой импеданс радиатора Р16 для режима естественного охлаждения и принудительного воздушного охлаждения

Способы охлаждения силовых модулей

Программа автоматизированного теплового расчета SEMISEL позволяет осуществлять анализ тепловых режимов для трех способов охлаждения: естественного (free convection), принудительного воздушного (forced air cooling) и жидкостного (water cooling).

Наиболее оптимальным материалом для изготовления теплоотвода с точки зрения соотношения теплопроводности и цены является алюминий (коэффициент теплопроводности чистого алюминия 1 =247 Вт/К м). Все стандартные радиаторы SEMIKRON производятся из более технологичного сплава AlMgSi, имеющего теплопроводность 1 =220 Вт/К м.

Кроме теплопроводности качество теплопередачи радиатора определяется геометрическими размерами его основания, а также количеством и размером ребер. Эти части теплостока имеют разное назначение: основание предназначено для крепления силового модуля и отвода тепла, ребра осуществляют отдачу тепла в охладитель (воздух или жидкость) за счет излучения и конвекции. Жидкостные радиаторы не имеют ребер, отдача тепла в них производится непосредственно из основания радиатора. Для теплового сопротивления «радиатор — окружающая среда » R thha справедливо следующее соотношение:

где a — коэффициент теплопередачи, А — площадь теплоотводящей поверхности, P tot =DT x a x A — суммарная мощность потерь.

На эквивалентной тепловой схеме (рис.2,3) радиатор представлен в виде одной (последней) RC-цепи (R thha , Z thha ).Как показано на рис.12, при увеличении рассеваемой мощности от 0 (при t =0)до максимума P m , график динамического теплового импеданса разделяется на семейство графиков, соответствующих разным значениям P m. Суммарное значение теплового сопротивления «кристалл — окружающая среда » Z thja , определяемое по формуле,приведенной на рис.3, может быть также получено арифметическим сложением графиков Z thjh и Z thha . Количество экспоненциальных функций (n), то есть значений R th и tn. выбирается так, чтобы обеспечить достаточно точную аппроксимацию тепловых характеристик. Программа SEMISEL для моделирования тепловых характеристик теплоотводов использует n =4 (4-time-constant-model).

Динамический тепловой импеданс радиатора Р16 для режима естественного охлаждения и принудительного воздушного охлаждения

Режим естественного охлаждения применяется, когда использование вентиляторов невозможно, а размеры радиатора не ограничены и обеспечены условия для нормального отвода тепла. При этом режиме перепад температуры «радиатор — окружающая среда » намного выше, чем градиент «радиатор — кристалл ». В месте установки силового модуля температура теплостока может достигать величины 90 –100 °С. Основание и ребра радиатора, предназначенного для режима естественного охлаждения, обычно делаются тонкими, поскольку теплопроводность при этом не имеет существенного значения, главным является площадь теплоизлучающей поверхности. Расстояние между ребрами выбирается так, чтобы обеспечить оптимальную конвекцию воздуха. Чернение поверхности радиатора улучшает излучение тепла, за счет этого тепловое сопротивление R thha снижается примерно на 15% при разности температур поверхности теплостока и окружающего воздуха 50 °С.

При использовании принудительной вентиляции тепловое сопротивление радиатора снижается в 5 –15 раз. Эта разница хорошо видна на графиках рис.12, где показано тепловое сопротивление радиатора Р16 производства SEMIKRON при использовании разных способов охлаждения. При правильно выбранных режимах принудительного охлаждения температура поверхности радиатора не должна превышать 90 °С при температуре воздуха 35 °С.

При данном способе охлаждения теплопроводность материала теплостока играет существенную роль, поэтому необходимо использовать радиаторы с толстым основанием и максимальным количеством ребер. Тепловое сопротивление R thha определяется в основном плотностью потока воздуха в единицу времени V air /t, средней скоростью потока V airavg и площадью теплоизлучающей поверхности A: V air /t =V airavgx А.Естественно, что тепловое сопротивление зависит также от характеристики вентилятора, определяемой величиной создаваемого давления Dp =f(V air /t)(см.рис.13).

Характеристики радиатора Р16 с вентилятором SKF

Тепловое сопротивление R thha «радиатор — окружающая среда» конструкции, в которой силовой модуль установлен на теплоотвод, показана на рис.15. На этом же рисунке показан внешний вид конструкции с радиатором P16, модулем SKiiP600GB и вентилятором SKF16. Величина R thha зависит от скорости потока воздуха, определяемой характеристикой вентилятора, и создаваемым перепадом давления Dp =f(V air /t,L),где L — длина ребра радиатора. Как видно из графиков,тепловое сопротивление зависит также от положения источника тепла (силового модуля) на теплоотводе. Для определения теплового сопротивления в зависимости от условий охлаждения и геометрических размеров радиатора, спользуется следующая формула:

где a — коэффициент теплопередачи, U — длина окружности ребра,1 — коэффициент теплопроводности теплостока, h — высота ребра.

Тепловое сопротивление радиатора Р16/300F с модулем SKiiP600GB

Жидкостное охлаждение используется в преобразователях большой мощности, а также в тех случаях, когда габариты не позволяют устанавливать оребренный радиатор или охлаждающая жидкость применяется в технологическом процессе, например, в автомобильной технике, системах индукционного нагрева. Температура охлаждающей жидкости может достигать 50 –70 °С, в случае, когда охлаждающая жидкость отдает тепло в атмосферу, или 15 –25 °С в промышленных теплообменниках.

С точки зрения теплоемкости (4,187 кДж/кг К) вода является достаточно хорошим охладителем, однако она используется очень редко, поскольку вызывает коррозию и имеет низкую температуру замерзания.Чаще всего охлаждающие жидкости изготавливаются на основе масел или гликоля. Изменяя соотношение воды и гликоля, можно менять температуру замерзания и тепловое сопротивление. Для алюминиевых радиаторов SEMIKRON минимальное допустимое содержание гликоля — 10%. Градиент между температурой жидкости на входе и выходе теплоотвода 1,7 °С на 1 кВт рассеиваемой мощности является стандартной величиной при использовании радиаторов SEMIKRON, охлаждающей жидкости с соотношением воды и гликоля 50:50% и скорости потока жидкости 10 л/мин.

Заключение

Моделирование тепловых характеристик с помощью эквивалентных электрических схем позволяет рассчитывать тепловые характеристики модулей с высокой точностью при различных условиях эксплуатации. Для корректных расчетов необходимы точные данные, коэффициенты, характеризующие тепловые параметры конструкционных элементов модулей, и такие данные предоставляет фирма SEMIKRON.

Тепловая модель и методики расчета, предлагаемые SEMIKRON, имеют высокую точность благодаря впервые примененному к силовым модулям IGBT трехмерному моделированию. Моделирование позволяет производить анализ тепловых характеристик отдельных элементов и конструкции и выяснять их влияние на параметры модуля. Важной особенностью теплового моделирования является возможность анализа отклика системы на кратковременные всплески мощности, которые имеют место при перегрузке по току и срабатывании защиты и не поддаются прямому измерению.

Создание методики трехмерного теплового моделирования позволило специалистам SEMIKRON разработать программу автоматизированного теплового расчета SEMISEL , не имеющую мировых аналогов. Автоматизация процесса теплового расчета силовых каскадов и выбора компонентов уже давно стала насущной потребностью разработчиков.

На сегодняшний день программу SEMISEL SEMIKRON следует признать наиболее автоматизированной, точной и простой в использовании, так как она охватывает практически все существующие схемы и требует от пользователя ввода только числовых исходных данных. Удобный интерфейс, пояснения, данные для всех режимов работы, позволяют использовать программу разработчикам средней квалификации.

Главным ограничением для использования SEMISEL является то, что эта программа предназначена для выбора и расчета компонентов производства SEMIKRON, так как все коэффициенты, использованные в формулах и выражениях, рассчитаны применительно к данным компонентам.

Это не удивительно, поскольку производственная программа фирмы насчитывает более 10 тысяч наименований, а диапазон мощностей распространяется от десятков ватт до единиц мегаватт. Эти изделия широко используются в приводах, устройствах электропитания, устройствах промышленной автоматизации и энергетики, в производстве автомобилей. Основное направление деятельности SEMIKRON — интеллектуальные модули IGBT, которые выпускаются во всех возможных конфигурациях в диапазоне напряжений до 1700 В и токов до 2800 А. Поэтому потребитель всегда может найти среди изделий SEMIKRON подходящий элемент для своих разработок.

Кроме того, практика показывает, что данную программу можно использовать и для расчета тепловых режимов других компонентов, если учесть разницу в тепловых сопротивлениях.

Программа SEMISEL доступна на сайте фирмы SEMIKRON www.semikron.de .

Литература

  1. U.Hecht, U.Scheuermann.Static and trancient thermal Resistance of advanced power modules. Semikron Elektronik GmbH.
  2. K.Backhaus, Performance of New Compact Power Semiconductor Module Families Featuring Pressure Contact Technology, Proc.
  3. Usage of SKiiP Systems. SEMIKRON.2002.
  4. А.Колпаков.Программа теплового расчета SEMISEL фирмы SEMIKRON //Компоненты и технологии. 2002.№ 9.
  5. Calculation of the Maximum Virtual Junction Temperature Reached Under Short-time or Intermittent Duty.IEC 60747-6 by SEMIKRON.
  6. U.Scheuermann.Reliability of Pressure Contacted Intelligent Power Modules.Semikron Elektronik GmbH.
  7. M.Held, P.Jacob, G.Nicoletti, P.Scacco,M.H. Poech.Fast power cycling test for IGBT modules in traction application.Proc.Power Electronics and Drive Systems.1997.

Андрей Колпаков


Статьи по: ARM PIC AVR MSP430, DSP, RF компоненты, Преобразование и коммутация речевых сигналов, Аналоговая техника, ADC, DAC, PLD, FPGA, MOSFET, IGBT, Дискретные полупрoводниковые приборы. Sensor, Проектирование и технология, LCD, LCM, LED. Оптоэлектроника и ВОЛС, Дистрибуция электронных компонентов, Оборудование и измерительная техника, Пассивные элементы и коммутационные устройства, Системы идентификации и защиты информации, Корпуса, Печатные платы

Design by GAW.RU