Рубликатор

 



























Все о псориазе



Автоматические регуляторы в системах управления и их настройка. Часть 2. Автоматические регуляторы и их настройка. Общие сведения о промышленных системах регулирования

Главная задача систем регулирования состоит в том, чтобы стабилизировать параметры процесса на заданном уровне при воздействии внешних возмущающих воздействий, действующих на объект управления. Этим занимаются системы автоматической стабилизации. Другой не менее важной задачей является задача обеспечения программного перехода на новые режимы работы. Решение этой проблемы осуществляется с помощью той же системы стабилизации, задание которой изменяется от программного задатчика.

Структурная схема одноконтурной системы АР объектом управления приведена на рис.1. Основными элементами ее являются: АР — автоматический регулятор, УМ — усилитель мощности, ИМ — исполнительный механизм, РО — регулируемый орган, СОУ — собственно объект управления, Д — датчик, НП — нормирующий преобразователь, ЗД — задатчик, ЭС — элемент сравнения.

Переменные: Yз — задающий сигнал, e — ошибка регулирования, U P — выходной сигнал регулятора, U y — управляющее напряжение, h — перемещение регулирующего органа, Q r — расход вещества или энергии, F — возмущающее воздействие, T — регулируемый параметр, Y ОС — сигнал обратной связи (выходное напряжение или ток преобразователя).

Нормирующий преобразователь выполняет следующие функции:

  • преобразует нестандартный сигнал датчика в стандартный выходной сигнал;
  • осуществляет фильтрацию сигнала;
  • осуществляет линеаризацию статической характеристики датчика с целью получения линейного диапазона.

Для расчетных целей исходную схему упрощают до схемы, показанной на рис.2, где АР — регулятор, ОУ — объект управления.

Выбор канала регулирования

Одним и тем ж выходным параметром объекта можно управлять по разным входным каналам.

При выборе нужного канала управления исходят из следующих соображений:

  • Из всех возможных регулирующих воздействий выбирают такой поток вещества или энергии, подаваемый в объект или отводимый из него, минимальное изменение которого вызывает максимальное изменение регулируемой величины, то есть коэффициент усиления по выбранному каналу должен быть, по возможности, максимальным. Тогда, по данному каналу можно обеспечить наиболее точное регулирование.
  • Диапазон допустимого изменения управляющего сигнала должен быть достаточен для полной компенсации максимально возможных возмущений, возникающих в данном процессе, то есть должен быть обеспечен запас по мощности управления в данном канале.
  • Выбранный канал должен иметь благоприятные динамические свойства, то есть запаздывание t 0 и отношение t 0 /T 0 , где T 0 — постоянная времени объекта, должны быть как можно меньшими. Кроме того, изменение статических и динамических параметров объекта по выбранному каналу при изменении нагрузки или во времени должны быть незначительными.

Основные показатели качества регулирования

К автоматическим системам регулирования предъявляются требования не только по устойчивости процессов регулирования во всем диапазоне нагрузок на объект, но и по обеспечению определенных качественных показателей процесса автоматического регулирования.Ими являются:

  • Ошибка регулирования (статистическая или среднеквадратическая составляющие).
  • Время регулирования.
  • Перерегулирование.
  • Показатель колебательности.

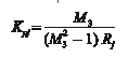
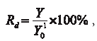
Динамический коэффициент регулирования R d , который определяется из формулы

где смысл величин Y 0 и Y 1 ясен из рис.3.

Величина R d характеризует степень воздействия регулятора на процесс, то есть степень снижения динамического отклонения в системе с регулятором и без него.

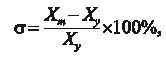
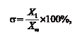
Величина перерегулирования зависит от вида отрабатываемого сигнала. При отработке ступенчатого воздействия по сигналу задания величина перерегулирования определяется по формуле

где значения величин X m и X y показаны на рис.4.

При отработке возмущающего воздействия величина перерегулирования определяется из соотношения

где значения величин X m и X y показаны на рис.5

.

Время регулирования — это время, за которое регулируемая величина в переходном процессе начинает отличаться от установившегося значения менее, чем на заранее заданное значение b , гдеb — точность регулирования. Настройки регулятора выбираются так, чтобы обеспечить либо минимально возможное значение общего времени регулирования, либо минимальное значение первой полуволны переходного процесса.

В некоторых системах АР наблюдается ошибка, которая не исчезает даж по истечении длительного интервала времени — это статическая ошибка регулированияe с .

У регуляторов с интегральной составляющей ошибки в установившемся состоянии теоретически равны нулю, но практически незначительные ошибки могут существовать из-за наличия зон нечувствительности в элементах системы.

Показатель колебательности M характеризует величину максимума модуля частотной передаточной функции замкнутой системы (на частоте резонанса)и, тем самым, характеризует колебательные свойства системы. Показатель колебательности наглядно иллюстрируется на графике рис.6.

Условно считается,что значение М=1,5ё1,6 является оптимальным для промышленных систем, так как в этом случае s обеспечивается в пределах от 20 до 40%. При увеличении M колебательность в системе возрастает.

В некоторых случаях нормируется полоса пропускания системы w п , которая соответствует уровню усиления в замкнутой системе 0,05. Чем больше полоса пропускания, тем больше быстродействие замкнутой системы. Однако при этом повышается чувствительность системы к шумам в канале измерения и возрастает дисперсия ошибки регулирования.

При настройке регуляторов можно получить достаточно большое число переходных процессов, удовлетворяющих заданным требованиям. Таким образом, появляется некоторая неопределенность в выборе конкретных значений параметров настройки регулятора. С целью ликвидации этой неопределенности и облегчения расчета настроек вводится понятие оптимальных типовых процессов регулирования.

Выделяют три типовых процесса:

  1. Апериодический процесс с минимальным временем регулирования (рис.7). Этот типовой процесс предполагает, что отрабатывается возмущение F (система автоматической стабилизации). В данном случае настройки подбираются так, чтобы время регулирования t p было минимальным. Данный вид типового процесса широко используется для настройки систем, не допускающих колебаний в замкнутой системе регулирования.

  2. Процесс с 20-процентным перерегулированием и минимальным временем первого полупериода (рис.8). Такой процесс применяется для настройки большинства промышленных САР, так как он соединяет в себе достаточно высокое быстродействие (t1=min) при ограниченной колебательности (s=20%).

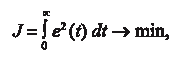
  3. Процесс, обеспечивающий минимум интегрального критерия качества (рис.9). Интегральный критерий качества выражается формулой

где e — ошибка регулирования.

К достоинствам этого процесса можно отнести высокое быстродействие (1-й полуволны) при довольно значительной колебательности. Кроме этого, оптимизация этого критерия по параметрам настройки регулятора может быть выполнена аналитически, численно или путем моделирования (на АВМ).

Типовая структурная схема регулятора

Автоматический регулятор (рис.10) состоит из: ЗУ — задающего устройства, СУ - сравнивающего устройства, УПУ — усилительно-преобразующего устройства, БН — блока настроек.

Задающее устройство должно вырабатывать высокостабильный сигнал задания (установку регулятора) либо изменять его по определенной программе. Сравнивающее устройство позволяет сопоставлять сигнал задания с сигналом обратной связи и тем самым сформировать величину ошибки регулирования e p . Усилительно-преобразующее устройство состоит из блока формирования алгоритма регулирования, блока настройки параметров этого алгоритма и усилителя мощности.

Классиффикация регуляторов

Автоматические регуляторы классифицируются по назначению, принципу действия, конструктивным особенностям, виду используемой энергии, характеру изменения регулирующего воздействия и т.п.

По принципу действия они подразделяются на регуляторы прямого и непрямого действия. Регуляторы прямого действия не используют внешнюю энергию для процессов управления, а используют энергию самого объекта управления (регулируемой среды). Примером таких регуляторов являются регуляторы давления. В автоматических регуляторах непрямого действия для его работы требуется внешний источник энергии.

По роду действия регуляторы делятся на непрерывные и дискретные. Дискретные регуляторы, в свою очередь, подразделяются на релейные, цифровые и импульсные.

По виду используемой энергии они подразделяются на электронные, пневматические, гидравлические, механические и комбинированные. Выбор регулятора по виду используемой энергии определяется характером объекта регулирования и особенностями автоматической системы.

По закону регулирования они делятся на двух-и трехпозиционные регуляторы, типовые регуляторы (интегральные, пропорциональные, пропорционально-дифференциальные, пропорционально- интегральные и пропорционально- интегрально- дифференциальные регуляторы — сокращенно И, П, ПД, ПИ и ПИД-регуляторы), регуляторы с переменной структурой, адаптивные (самонастраивающиеся) и оптимальные регуляторы. Двухпозиционные регуляторы нашли широкое распространение благодаря своей простоте и малой стоимости.

По виду выполняемых функций регуляторы подразделяются на регуляторы автоматической стабилизации, программные, корректирующие, регуляторы соотношения параметров и другие.

Выбор типа регулятора

Задача проектировщика состоит в выборе такого типа регулятора, который при минимальной стоимости и максимальной надёжности обеспечивал бы заданное качество регулирования.

Для того чтобы выбрать тип регулятора и определить его настройки, необходимо знать:

  • Статические и динамические характеристики объекта управления.
  • Требования к качеству процесса регулирования.
  • Показатели качества регулирования для серийных регуляторов.
  • Характер возмущений,действующих на процесс регулирования.

Выбор типа регулятора обычно начинается с простейших двухпозиционных регуляторов и может заканчиваться самонастраивающимися микропроцессорными регуляторами.

Рассмотрим показатели качества серийных регуляторов. В качестве серийных предполагаются непрерывные регуляторы, реализующие законы управления И, П, ПИ и ПИД.

Теоретически, с усложнением закона регулирования качество работы системы улучшается. Известно, что на динамику регулирования наибольшее влияние оказывает величина отношения запаздывания к постоянной времени объекта с . Эффективность компенсации ступенчатого возмущения регулятором достаточно точно может характеризоваться величиной динамического коэффициента регулирования R d , а быстродействие — величиной времени регулирования. Теоретически, в системе с запаздыванием минимальное время регулирования t pvin =2/.

Минимально возможное время регулирования для различных типов регуляторов при оптимальной их настройке определяется таблицей 1.

Таблица 1

Закон регулирования П ПИ ПИД
t p /t ,где t p – время регулирования, t –запаздывание в объекте 6,5 12 7

Руководствуясь таблицей, можно утверждать, что наибольшее быстродействие обеспечивает закон управления П. Однако, если коэффициент усиления П-регулятора KP мал (чаще всего это наблюдается в системах с запаздыванием), то такой регулятор не обеспечивает высокой точности регулирования, так как в этом случае велика величина статической ошибки. Если KP имеет величину равную 10 и более, то П-регулятор приемлем, а если KP<10 то требуется введение в закон управления интегральной составляющей.

Наиболее распространенным на практик является ПИ-регулятор, который обладает следующими достоинствами:

  1. Обеспечивает нулевую статическую ошибку регулирования.
  2. Достаточно прост в настройке, так как настраиваются только два параметра, а именно коэффициент усиления K P и постоянная интегрирования T i . В таком регуляторе имеется возможность оптимизации K p /T i >max, что обеспечивает управление с минимально возможной среднеквадратичной ошибкой регулирования.
  3. Обладает малой чувствительностью к шумам в канале измерения (в отличие от ПИД-регулятора).

Для наиболее ответственных контуров можно рекомендовать использование ПИД-регулятора, обеспечивающего наиболее высокое быстродействие в системе. Однако следует учитывать, что это условие выполняется только при его оптимальных настройках (настраиваются три параметра). С увеличением запаздывания в системе резко возрастают отрицательные фазовые сдвиги, что снижает эффект действия дифференциальной составляющей регулятора. Поэтому качество работы ПИД-регулятора для систем с большим запаздыванием становится сравнимо с качеством работы ПИ-регулятора. Кроме этого, наличие шумов в канале измерения в системе с ПИД-регулятором приводит к значительным случайным колебаниям управляющего сигнала регулятора,что увеличивает дисперсию ошибки регулирования. Таким образом, ПИД-регулятор следует выбирать для систем регулирования с относительно малым уровнем шумов и величиной запаздывания в объекте управления. Примерами таких систем являются системы регулирования температуры.

При выборе типа регулятора рекомендуется ориентироваться на величину отношения запаздывания к постоянной времени в объекте t/T. Если t/T< 0,2, то можно выбрать релейный, непрерывный или цифровой регуляторы. Если 0,2 < t/T< 1, то должен быть выбран непрерывный или цифровой, ПИ или ПИД-регулятор. Если t /T >1, то выбирают специальный цифровой регулятор с упредителем, который компенсирует запаздывание в контуре управления. Однако этот ж регулятор рекомендуется применять и при меньших отношениях t /T.

Формульный метод определения настроек регулятора

Метод используется для быстрой приближенной оценки значений параметров настройки регулятора для трех видов оптимальных типовых процессов регулирования.

Метод применим как для статических объектов с самовыравниванием (таблица 2), так и для объектов без самовыравнивания (таблица 3).

Примечание:T,t ,K оу — постоянная времени, запаздывание и коэффициент усиления объекта.

В этих формулах предполагается, что настраивается регулятор с зависимыми настройками, передаточная функция которого имеет вид:

где:

K p — коэффициент усиления регулятора;
T i —время изодрома (постоянная интегрирования регулятора);
T d —время предварения (постоянная дифференцирования).

Расчёт настроек по частотным характеристикам объекта

Существует специальная аппаратура для экспериментального определения амплитуднофазовой характеристики (АФХ) объекта управления: Эту характеристику можно использовать для расчета настроек ПИ-регулятора, гд главным критерием является обеспечение заданных запасов устойчивости в системе.

Запасы устойчивости удобно характеризовать показателем колебательности системы M, величина которого в системе с ПИ-регулятором совпадает с максимумом амплитудно-частотной характеристики замкнутой системы. Для того чтобы этот максимум не превышал заданной величины, АФХ разомкнутой системы не должна заходить внутрь окружности с центром P 0 и радиусом R, где

Можно доказать, что оптимальными по минимуму среднеквадратичной ошибки регулирования настройками будут такие, при которых система с показателем колебательности MЈM 1 будет иметь наибольший коэффициент при интегральной составляющей, чему соответствует условие K p /T i >min.

В связи с этим расчет оптимальных настроек состоит из двух этапов:

  1. Нахождение в плоскости параметров K p и T i , границы области, в которой система обладает заданным показателем колебательности M 1 .
  2. Определением на границе области точки, удовлетворяющей требованию K p /T i .

Расчёт настроек по частотным характеристикам объекта. Методика расчёта настроек ПИ регулятора по АФХ объекта

  1. Строится семейство амплитудно-фазовых характеристик разомкнутой системы при K p =1 и различных значениях T ij (5 –6 значений).

  2. Задаются значения показателя колебательности M из диапазона 1,55 Ј M Ј 2,3 (рекомендуется М=1,6). Из начала координат проводят прямую OE под углом b =arcsin(1/M 1 ), где M 1 — выбранное значение показателя колебательности.
  3. Строится семейство окружностей,касающихся АФХ oj и прямой OE под углом b, причем центр окружностей все время лежит на отрицательной действительной оси. В результате построения определяются радиусы этих окружностей R j .
  4. Для каждой окружности вычисляют предельное значение K p
  5. По значениям K pj и K ij строят границу области заданного показателя колебательности.
  6. На этой границе определяют точку,для которой отношение K p /T i максимально.

Экспериментальные методы настройки регулятора

Для значительного числа промышленных объектов управления отсутствуют достаточно точные математические модели, описывающие их статические и динамические характеристики. В то ж время проведение экспериментов по снятию этих характеристик весьма дорого и трудоемко.

Экспериментальный метод настройки регуляторов не требуют знания математической модели объекта. Однако предполагается, что система смонтирована и может быть запущена в работу, а также существует возможность изменения настроек регулятора. Таким образом, можно проводить некоторые эксперименты по анализу влияния изменения настроек на динамику системы. В конечном итоге гарантируется получение хороших настроек для данной системы регулирования.

Существуют два метода настройки — метод незатухающих колебаний и метод затухающих колебаний.

Метод незатухающих колебаний

В работающей системе выключаются интегральная и дифференциальная составляющие регулятора (T i =Ґ,T d =0), то есть система переводится в закон регулирования П.

Путем последовательного увеличения K p с одновременной подачей небольшого скачкообразного сигнала задания добиваются возникновения в системе незатухающих колебаний с периодом T kp . Это соответствует выведению системы на границу колебательной устойчивости. При возникновении данного режима работы фиксируются значения критического коэффициента усиления регулятора K kp и периода критических колебаний в системе T kp . При появлении критических колебаний ни одна переменная системы не должна выходить на уровень ограничения.

По значениям T kp и K kp рассчитываются параметры настройки регулятора:

  • П-регулятор: K p =0,55 K kp ;
  • ПИ-регулятор: K p =0,45 K kp ; T i =T kp /1,2;
  • ПИД-регулятор: K p =0,6 K kp ; T i =T kp /2; T d =T kp /8.

Расчет настроек регулятора можно производить по критической частоте собственно объекта управления w п . Учитывая, что собственная частота Ґ п ОУ совпадает с критической частотой колебаний замкнутой системы с П-регулятором, величины T kp и K kp могут быть определены по амплитуд и периоду критических колебаний собственно объекта управления.

При выведении замкнутой системы на границу колебательной устойчивости, амплитуда колебаний может превысить допустимое значение, что в свою очередь приведет к возникновению аварийной ситуации на объекте или к выпуску бракованной продукции. Поэтому не все системы управления промышленными объектами могут выводиться на критический режим работы.

Метод затухающих колебаний

Применение этого метода позволяет настраивать регуляторы без выведения системы на критические режимы работы. Так же, как и в предыдущем методе, для замкнутой системы с П-регулятором путем последовательного увеличения KP добиваются переходного процесса отработки прямоугольного импульса по сигналу задания или возмущения с декрементом затухания D=1/4. Далее определяется период этих колебаний T k и значения постоянных интегрирования и дифференцирования регуляторов T i ,T d .

  • Для ПИ-регулятора:T i =T k /6;
  • Для ПИД-регулятора:T i =T k /6;T d =T k /1,5.

После установки вычисленных значений T i и T d на регуляторе необходимо экспериментально уточнить величину K P для получения декремента затухания D=1/4. С этой целью производится дополнительная подстройка K P для выбранного закона регулирования, что обычно приводит к уменьшению K P на 20 –30%. Большинство промышленных систем регулирования считаются качественно настроенными, если их декремент затухания D равен 1/4 или 1/5.

Регулирование при наличии шумов

Наличие высокочастотных шумовых составляющих в измерительном сигнале приводит к случайным колебаниям исполнительного механизма системы, что увеличивает дисперсию ошибки регулирования и снижает точность регулирования. В некоторых случаях сильные шумовые составляющие могут привести систему к неустойчивому режиму работы (стохастическая неустойчивость).

В промышленных системах в измерительных цепях часто присутствуют шумы, связанные с частотой питающей сети. В связи с этим важной задачей является правильная фильтрация измерительного сигнала, а также выбор нужного алгоритма и параметров работы регулятора. Для этого используются фильтры низкой частоты высокого порядка (5 –7), имеющие большую крутизну спада. Их иногда встраивают в нормирующие преобразователи.

Таким образом, главной задачей регулятора является компенсация низкочастотных возмущений. При этом, с целью получения минимальной дисперсии ошибки регулирования, высокочастотные помехи должны быть отфильтрованы. Однако, в общем случае, эта задача противоречивая, так как спектры возмущения и шума могут накладываться друг на друга. Это противоречие разрешается с помощью теории оптимального стохастического управления, которая позволяет добиться хорошего быстрод йствия в системе при минимально возможной дисперсии ошибки регулирования. Для уменьшения влияния помех в практических ситуациях применяются два способа, основанных на:

  • уменьшении коэффициента усиления регулятора K p , то есть, фактически, переход на интегральный закон регулирования, который малочувствителен к шумам;
  • фильтрации измеряемого сигнала.

Методы настройки двухсвязных систем регулирования

Из общего числа систем регулирования около 15% составляют двухсвязные системы регулирования (рис.11). В таких системах даже при наличии устойчивой автономной работы двух регуляторов вся система может стать неустойчивой за счет действия перекрестной связи в объекте управления.

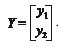
Объект управления в двухсвязной системе представлен в Р-канонической форме. Удобство такого представления заключается в том, что путем активного эксперимента можно определить все передаточные функции по соответствующим каналам. Промежуточные сигналы x 1 , x 2 , x 3 , x 4 обычно недоступны для измерения, поэтому управление ведется по вектору выхода Y:

На практике довольно большое число систем являются двухсвязными. Для объективной настройки регуляторов двухсвязных систем формируется критерий качества вида:

где y 1 и y 2 — коэффициенты веса (штрафа), J1 и J 2 — критерии качества первого и второго контуров.

Путем перераспределения коэффициентов веса y 1 и y 2 можно выделить более важный контур, качество процессов управления в котором должно быть более высоким. Например, если первый контур должен обеспечивать более высокую точность работы, то y 1 требуется увеличить.

Задача настройки регулятора состоит в том, чтобы при заданных y 1 и y 2 обеспечить минимальное значение J 0 системы, где

Рассмотрим различные методы настройки регуляторов в двухсвязных системах.

Метод автономной настройки регуляторов

В этом случае настройка регуляторов Р 1 и Р 2 производится последовательно, без учета взаимных влияний контуров. Процедура настройки осуществляется следующим образом:

  • регулятор Р 2 переводится в ручной режим работы;
  • настраивается регулятор Р 1 так, чтобы критерий J 1 был минимален;
  • отключается настроенный регулятор Р 1 и включается регулятор Р 2 ;
  • настраивается Р 2 , обеспечивая минимум J 2 ;
  • оба регулятора включаются в работу.

Такой подход рекомендуется использовать если:

  • наблюдается малое взаимное влияние контуров;
  • быстродействие одного контура значительно выше другого (контуры разнесены по частотам);
  • в перекрестных связях одна из передаточных функций имеет коэффициент передачи значительно меньше, чем другая, то есть наблюдается одностороннее влияние.

Метод итеративной настройки регуляторов

Этот метода аналогичен предыдущему, но здесь осуществляется многократная настройка регуляторов Р 1 и Р 2 (последовательная подстройка) с целью обеспечения минимального значения критерия качества J 0 всей системы.

Следует учитывать, что только метод итеративной настройки регуляторов обеспечивает качественную работу двухсвязной системы даж при наличии сильных перекрестных связей. Это объясняется тем, что оптимизация критерия качества J 0 системы происходит при включенных Р 1 и Р 2 .

Данный метод часто применяется при аналоговом и цифровом моделировании двухсвязных систем, так как в реальных условиях он весьма трудоемок.

Метод аналитического конструирования регуляторов

Этот метод позволяет синтезировать многомерный регулятор, учитывающий в своей структуре взаимосвязь переменных в объекте управления. Синтез ведется с помощью методов теории оптимального или модального управления при описании объекта в пространстве состояний.

Структурная схема оптимального регулятора состояния, содержащего наблюдающее устройство, приведена на рис.12. Схема содержит следующие элементы: Н — наблюдатель, ОУ — объект управления, МОУ — модуль объекта управления, ОРС — оптимальный регулятор состояния, Е Н — ошибка наблюдения, X М — вектор состояния модели, X зад.— вектор задания, U — вектор входа ОУ, Y — вектор выхода ОУ, Y М — вектор выхода модели.

Оптимальный регулятор состояния, являясь наиболее совершенным типом регулятора, требует измерения всех компонентов вектора состояния объекта. Для получения их оценок (x) используется динамическая модель объекта (цифровая или аналоговая), подключенная параллельно исходному ОУ. Для обеспечения равенства движений в реальном объекте и модели используется наблюдатель, который, сравнивая движения векторов Y и Y М , обеспечивает их равенство (E H >0 ). Параметры регулятора состояния рассчитываются методамианалитического конструирования регуляторов путем минимизации интегрального квадратичного критерия качества

где Q и R — матрицы штрафов (весов) на компоненты вектора состояния и вектора управления.

За основу публикации взят курс лекций, читаемый профессоромВ.М.Мазуровым на каферде АТМ Тульского государственного университета


Статьи по: ARM PIC AVR MSP430, DSP, RF компоненты, Преобразование и коммутация речевых сигналов, Аналоговая техника, ADC, DAC, PLD, FPGA, MOSFET, IGBT, Дискретные полупрoводниковые приборы. Sensor, Проектирование и технология, LCD, LCM, LED. Оптоэлектроника и ВОЛС, Дистрибуция электронных компонентов, Оборудование и измерительная техника, Пассивные элементы и коммутационные устройства, Системы идентификации и защиты информации, Корпуса, Печатные платы

Design by GAW.RU