Частотный метод анализа характеристик синтезаторов частот с импульсно-фазовой автоподстройкой частоты Analog Devices. Часть 3. Расчёт фильтрации помех кольцом АФАП
Для синтеза сетки частот используют системы синтеза частот (ССЧ), в том числе и на основе колец ИФАП (Phase Locktd Loop - PLL). Полезным продуктом ССЧ является их выходное колебание, поэтому к основным техническим характеристикам ССЧ относят величину фазовых шумов в выходном колебании при различных отстройках и уровень дискретных побочных спектральных составляющих (ПСС).
Расчет синтезаторной системы ИФАП сводится к определению требований к петлевому фильтру нижних частот (ФНЧ) при безусловном учете исходных факторов и обеспечении требуемых характеристик выходного колебания.
Часть исходных параметров для расчета необходимо задавать волевым способом — это и выбор выходного тока ЧФД, и число звеньев петлевого фильтра, и полоса пропускания петли ИФАП; а часть брать из справочников и описаний.
Обобщенная структурная схема синтезаторного квазиастатического кольца ИФАП (АФАП) показана на рис.1.

Исходные данные для расчёта кольца АФАП
Основные исходные данные для расчета кольца АФАП следующие:
- Диапазон синтезируемых частот F ВЫХ =F МИН …F МАКС ; DF є FD=F МАКС – F МИН .
- Шаг сетки синтезируемых частот F S .
- Частота опорного колебания F ОКГ .
- Уровень дискретных ПСС, равных и кратных частоте сравнения в кольце D ПСС .
- Распределения уровня фазовых шумов при отстройке от выходного колебания (по желанию).
- Требуемая полоса прозрачности кольца (частота среза кольца F С или частота единичного усиления кольца).
- Тип применяемой микросхемы АФАП и значение выходного тока ЧФД I 0 .
Расчет кольца заканчивается определением требований к петлевому ФНЧ — его АЧХ и ФЧХ и, может быть, синтезом звеньев ФНЧ.
Значение выходной частоты можно определить по формуле:

где
- N и R — коэффициенты деления ДПКД и ДФКД соответственно;
- F TCXO — частота опорного кварцевого генератора F ОКГ ;
- F OUT — выходная частота ГУН F ВЫХ .
Методику расчета изложим в виде примеров расчета конкретных синтезаторных колец АФАП [1,2].
Так, если нужно спроектировать гетеродин для приемника базовой станции E-GSM900 (880 –915 МГц), при F 1 ПЧ =240 МГц и нижнем сопряжении, получим диапазон синтезируемых частот F ВЫХ =F МИН …F МАКС =640 …675 МГц, при верхнем сопряжении F ВЫХ =1120 …1155 МГц и полосу перестройки ГУН F D=F МАКС – F МИН =35 МГц.
Следует учесть температурную нестабильность ГУН и уход частоты вследствие старения элементов. Поэтому, ориентировочно, полосу перестройки F D можно выбрать равной 50 МГц. Далее из информационных материалов следует найти максимальную крутизну управляющей характеристики выбранного ГУН K V МАКС .
Например, для генераторов ROS-765 и ROS-1500 фирмы Mini-Circuits K V МАКС =38 и 42 МГц/В соответственно. Основные технические параметры указанных генераторов приведены в таблице 1. Запись в таблице 1 «дБн/Гц » означает, что уровень фазовых шумов нормирован к уровню несущего (выходного) колебания ГУН и полосе анализа 1 Гц.
Примем, что выбрана микросхема PLL типа ADF4118, обеспечивающая выходной ток ЧФД I 0 =±1 мA или I 0 =±250 мкA .
Таблица 1
Тип ГУН |
Диапазон перестройки F ВЫХ ,МГц |
Диапазон управляющего напряжения E V ,В |
Крутизна управляющего напряжения K V ,МГц/В |
Уровень фазовых шумов, дБн/Гц, при отстройке, кГц |
1 |
10 |
100 |
1000 |
ROS 765 |
445 –800 |
1 –17 |
38 –11 |
–74 |
–95 |
–115 |
–135 |
ROS 1500 |
990 –1560 |
1 –20 |
42 –21 |
–79 |
–104 |
–124 |
–144 |
Предварительный расчёт
Таблица 2
№ варианта |
Полоса перестройки F m,МГц |
Шаг сетки F S ,кГц |
Коэффициент деления ДПКД N |
Полоса удержания F V , кГц |
Выходной ток ЧФД, мА |
Размах выходного напряжения ЧФД E D ,В |
Размах управляющего напряжения E V ,В |
1 |
50 |
200 |
3200 –3375 |
15,6 –14,8 |
1 0,25 |
0,25 – 4,75 |
6 – 9,5 |
2 |
50 |
200 |
5600 –5775 |
8,93 –8,66 |
1 0,25 |
5 – 7,5 |
3 |
350 |
200 |
2225 –3950 |
157 –88,6 |
1 0,25 |
1 – 17 |
4 |
600 |
200 |
4950 –7800 |
121 –77 |
1 0,25 |
1 – 20 |
В таблице 2 сведем исходные параметры и результаты предварительных расчетов по 4 вариантам синтезаторных колец АФАП:
- Вариант 1 — нижнее сопряжение гетеродина, диапазон частот 640 …675 МГц;
- Вариант 2 — верхнее сопряжение гетеродина, диапазон частот 1120 …1155 МГц;
- Вариант 3 — максимальное перекрытие ГУН ROS-765, диапазон частот 445 …800 МГц;
- Вариант 4 — максимальное перекрытие ГУН ROS-1500, диапазон частот 990 …1560 МГц.
Коэффициент деления N тракта приведения частоты ГУН

приведенная к частоте сравнения полоса удержания (перестройки) ГУН

Далее построим асимптотические логарифмические АЧХ для полосы перестройки ГУН и его полосы удержания (рис.2 и 3). Графики на рис.2 показывают, во сколько раз ГУН будет усиливать помеху, приходящую (просачивающуюся) на его управляющий вход.


Например, при полосе перестройки ГУН FD=K V x E V =50 МГц и частоте помехи F I =1 кГц, кольцо усилит помеху в раз,то есть на 94 дБ.
Вот почему так важны короткая разводка цепей управления ГУН и их экранирование, прежде всего от низкочастотных помех, а также эффективная фильтрация помех по цепям питания.
Изодробное звено
Под изодромным звеном условимся считать выходную цепь поддержания заряда Charge Pump ЧФД, которая подсоединена к общей (земляной) шине через резистор R I и конденсатор C I . Эквивалентная схема выходной цепи ЧФД и изодромного звена приведена на рис.4.

Выходная цепь Charge Pump заменена генератором тока потому, что выходные ключи ЧФД практически весь период частоты сравнения находятся в разомкнутом состоянии, обеспечивая малые токи утечки.
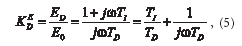
После анализа приведенной на рис.4 эквивалентной схемы можно записать

или

где T I =R I x C I — постоянная времени изодромного звена. Если представить выходной ток детектора как

,
где E D — размах управляющего напряжения на выходе Charge Pump ЧФД,R 0 — внутреннее сопротивление открытого ключа Charge Pump,можно переписать выражение (4)в более удобном безразмерном виде:

где T D =R 0 x C I — постоянная времени ЧФД-интегратора.
На практике напряжение E D меньше напряжения питания Charge Pump на 5 –10%.
На рис.5 представлена асимптотическая ЛАХ системы «Charge Pump-изодромное звено », где F I =1/T I =1/(2p x R I C I ); F D =1/T D = 1/(2 p x R 0 C I ).

Построение ЛАХ
При построении ЛАХ кольца АФАП удобнее разбить ЛАХ изодромного звена на две части — ЛАХ идеального интегратора с частотой среза F D и ЛАХ дифференцирующего звена с частотой среза F I .
Частоту F D будем считать частотой среза (частотой единичного усиления) ЧФД. Заметим, что постоянная времени ЧФД T D =R 0 x C I зависит как от выходного тока ЧФД, так и от величины емкости изодромного звена C I .
Далее на ЛАХ «ГУН-интегратор » (рис.3) строим ЛАХ «ЧФД-интегратор » и их суммарную ЛАХ, которая будет иметь отрицательный двойной наклон –40 дБ/дек (рис.6). Не следует забывать, что фазовый набег одиночного интегратора постоянен и равен –p/2, а у идеального двойного интегратора — –p. Вот почему необходимо введение изодромного (дифференцирующего) звена.

Отметим и тот факт, что для конкретного коэффициента деления N точка F V зафиксирована, в то время как точку F D можно двигать, изменяя величину постоянной времени T D . Соответственно, будет двигаться и точка F A .
Излом дифференцирующего (изодромного) звена вводят для обеспечения запаса по фазе на частоте среза F C . Поскольку частота среза (единичного усиления) F C кольца АФАП изменяется в зависимости от значения N , то худшее соотношение между частотой среза F C и частотой сравнения F S будет при минимальном значении N MIN .
Сказанное означает, что при минимальном N частота F C максимальна и наиболее близка к F S .
Поэтому введение петлевого фильтра вызовет наибольший набег фазы на частоту среза кольца и, соответственно, уменьшит запас по фазе. К тому же и требования к петлевому фильтру в этом случае будут наиболее жесткими.
Из теории систем автоматического регулирования [3 ] известно, что для обеспечения монотонности переходного процесса и приемлемого коэффициента колебательности (перерегулирования) желательно не иметь изломов ЛАХ, расположенных на расстоянии =+(14 …20) дБ и =–(3 …8)дБ от оси абсцисс, то есть в интервале коэффициентов передачи G N (w) разомкнутой петли H =+(14 …20)…–(3 …8)дБ.
Поскольку

можно записать для частоты излома дифференцирующего звена

где 
Для расчетов удобно воспользоваться следующей формулой:

Когда частота излома изодромного звена расположена, например, на уровне H =14 дБ, можно записать

а частоту среза (частота единичного усиления) кольца АФАП вычислить как

Заметим, что частоту F C мы выбираем самостоятельно, полагаясь на интуицию и опыт. Такое же неоднозначное толкование допускает выбор частоты среза F D ЧФД [4 ].
Далее в справочных данных на синтезатор находим величину тока утечки ключей Charge Pump и токов утечки элементов обвеса цепи управления частотой ГУН — прежде всего, буферного УПТ.
Например, ток утечки Charge Pump микросхемы ADF4118 не превышает I CP =1 нA, а входной ток ОУ типа AD820 не превышает 25 пA; током утечки конденсатора изодромного звена пренебрежем из-за его малости. Правда, не следует пренебрегать его шумами.
При значении выходного тока ЧФД I 0 =250 мкА подавление помех с частотой сравнения F S в ЧФД составит не менее I CP /I 0 =108 дБ.
Петлевой фильтр
Тем не менее бесфильтровое кольцо усиливает помеху, приходящую с управляющим напряжением вследствие высокой крутизны K V ГУН. В нашем примере (строки 1 и 2 в табл. 2) помеха будет усилена в 50 МГц/200 кГц =250 раз или на 48 дБ. В итоге уровень дискретной ПСС частотой 200 кГц на выходе кольца не превысит –108 +48 =–60 дБн. В широкополосных синтезаторах (строки 3 и 4 в табл.2) помеха будет усилена на 65 и 70,6 дБ соответственно, и уровень дискретных ПСС на их выходе составит всего –43 и –37,4 дБн соответственно.
Таким образом, требуется дополнительная фильтрация помех петлевым ФНЧ. Если обратиться к рис. 4 и формуле 5, можно увидеть наличие виртуального резистора R 0 . Подключение к выходу E D дополнительного конденсатора C 0 позволяет создать звено RC ФНЧ частотой среза


Изодромное звено можно «нагрузить » дополнительным ФНЧ. Следует лишь проследить за тем, чтобы сопротивление R 1 превышало значение R I не мене, чем в 3 –5 раз. Ошибка расчета при этом не превысит 10…4%. Отметим, что при определении постоянных времени T I изодромного звена и T D ЧФД под емкостью C I следует понимать сумму емкостей, подключенных к выходу ЧФД.
Частоты изломов F F звеньев петлевого фильтра желательно располагать вне «охранной зоны»H =–(3 …8) дБ во избежание коэффициентов перерегулирования M i1,2 при переходе с частоты на частоту. Также не следует забывать, что фильтрация помех в импульсном кольце ФАП прекращается на половинной частоте сравнения.
Сведем результаты расчета исходных вариантов колец АФАП в таблице 3. Возможные номинальные значения элементов изодромного звена и петлевого фильтра приведены в таблице 4.
Таблица 3

Таблица 4

Показатель перерегулирования M не превысит заданного значения, если запас по фазе на частоте сравнения не менее

в том интервале частот, в котором

то есть в указанном диапазоне частот ФЧХ не должна заходить в зону, ограниченную прямой –180 ° и кривой –180 ° + DY
Отметим то обстоятельство, что значения элементов R1, C1 петлевого ФНЧ в таблице 4 отсутствуют. Это вызвано большим разбросом значений R I . При использовании развязывающего усилителя целесообразно, во-первых, разделить звенья петлевого ФНЧ, поместив их как до, так и после ОУ; во-вторых, реализовать на буферном ОУ усилитель постоянного тока с требуемым коэффициентом передачи; в-третьих, по возможности минимизировать этот коэффициент.
Например, при построении узкополосного синтезатора (строки 1 и 2 табл.2), целесообразно предусмотреть цепь постоянного смещения для того, чтобы ограничить коэффициент передачи петлевого фильтра по постоянному току минимальной величиной.

Обычно полученных результатов достаточно для получения представления о параметрах проектируемого кольца АФАП. Для более детального построения характеристики распределения фазовых шумов в спектре выходного колебания необходимо располагать исходными характеристиками ОКГ и ГУН и, последовательно смещая частоту среза кольца, получить желательную итоговую характеристику.
При расчете кольца АФАП с ДДПКД приходится, как правило, существенно корректировать параметры петлевого фильтра для обеспечения требуемого подавления помех дробности и сохранения устойчивости кольца во всем диапазоне изменения коэффициента деления N .
Владение частотными методами анализа и синтеза синтезаторных колец фазовой автоподстройки позволяет при минимальной затрате времени и средств получать представление о фильтрующих свойствах проектируемых колец и строить кольца АФАП с требуемыми качественными характеристиками.
В следующей, завершающей статье серии будет рассмотрен расчет фильтрации помех кольцом АФАП с ДДПКД.
Литература
- Шапиро Д.Н., Паин А.А. Основы теории синтеза частот.М.: Радио и связь.1981.
- Рыжков А.В., Попов В.Н. Синтезаторы частот в технике радиосвязи.М.: Радио и связь. 1991.
- Макаров И.М., Менский Б.М.Линейные автоматические системы.М.: Машиностроение. 1977.
- Гуревич И.Н., Зарецкий М.М., Никитин Ю.А. Анализ и расчет фильтрации помех астатической системой ФАП //Электросвязь. 1994. № 8.
Юрий Никитин, к.т.н., Сергей Дмитриев
|