Рубликатор

 



























Все о псориазе



Мощные модульные выпрямители с процентным резервированием

Модульное построение решает важную проблему создания надежных мощных выпрямителей. На предприятии «Александер Электрик источники электропитания» (АЭИЭП) для таких выпрямителей разработаны модули, в которых реализованы новые разработки в области фильтрации радиопомех и параллельной работы модулей большой мощности [2, 3]. На основе модуля KD1200 АЭИЭП выпускает блоки питания DB, VZ и BR мощностью 1 и 2 кВт и выпрямители ВУ мощностью 3, 6, 9, 12 кВт.

В устройствах электронной аппаратуры (ЭА) выпрямительная нагрузка достигает 80% от общего потребления. До недавнего времени для преобразования переменного напряжения в постоянное (преобразователи AC/DC) использовались громоздкие выпрямительные устройства (ВУ) с большими потерями, которые на стационарных объектах устанавливались в специальных залах с мощной системой принудительного отвода тепла, а на подвижных объектах их старались разместить вне операторного отсека или выделить в невозимый комплект.

В 70-е годы прошлого столетия высокочастотные импульсные ВУ с бестрансформаторным входом (БТВ) заменили трансформаторные, что позволило уменьшить массу и объем в 3–5 раз, а КПД увеличить с 65–70% до 85–90%.

В то же время обострилась проблема обеспечения надежности мощных ВУ с БТВ. Из-за сложности схемотехнических решений и большого количества мощных дискретных элементов, не поддающихся интеграции, надежность оказалась недостаточной для современной ЭА.

Анализ преобразователей класса AC/DC предприятия АЭИЭП [1], имеющих одинаковую структуру и выполненных на элементной базе примерно одной степени интеграции показывает, что время наработки на отказ уменьшается при увеличении мощности (рис. 1). Значения наработки на отказ Т0 приведены для температуры корпуса преобразователей 70 °С. Как видно из графика, уже при мощности 1 кВт значение Т0 не превышает 50 тыс. часов. В современной ЭА на микросхемах значение Т0 составляет десятки тысяч часов. Чтобы сохранить установившееся процентное соотношение (20%) для отказов блоков питания, ВУ должны иметь значение Т0, как минимум, 100–200 тыс. часов.

Наработка на отказ
Рис. 1. Наработка на отказ

Одним из перспективных путей создания мощного ВУ, удовлетворяющего требованиям со стороны ЭА, является модульное построение подсистемы питания. Для получения необходимой надежности ВУ, рассчитанное на некоторую мощность Рн, строится из n параллельно включенных основных модулей, мощностью Рн/n и в него вводятся k резервных. Деление модулей на основные и резервные в таком ВУ является достаточно условным, так как все модули находятся в одинаково нагруженном режиме. При отказе одного из модулей выходная мощность не изменяется, так как оставшиеся работоспособными модули пропорционально увеличивают выходную мощность. При процентном резервировании обязательно включение диодов на выходе каждого модуля, которые защищают нагрузку от короткого замыкания по выходу отказавшего модуля, а также непрерывный и достоверный контроль работоспособности модулей. Неработоспособный модуль может быть заменен из ЗИПа сразу после возникновения отказа без выключения ВУ, что позволяет реализовать устройство с высокой надежностью.

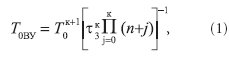
При рассмотренных условиях значение Т0ВУ определяется выражением [4]:

где Т0 — наработка на отказ модуля; t3 - время замены модуля, мин; n — минимальное количество модулей; n = Рнм; РнВУ и Рм — номинальная выходная мощность ВУ и модуля.

Из формулы (1) следует, что каждый дополнительный модуль увеличивает значение Т0ВУ примерно в Т/tB(n+к) раз. По экономическим причинам (стоимость ВУ возрастает при увеличении количества модулей) «n» обычно выбирается от 3 до 5. Если принять n = 5, t3 = 30 мин, Т0 = 50x103, то уже при одном дополнительном модуле значение Т0ВУ возрастает на несколько порядков. Поэтому все известные модульные ВУ построены по принципу n+1.

Как уже отмечалось, формула (1) применима для ВУ, в котором контроль работоспособности каждого модуля является полным и достоверным. При отсутствии контроля увеличение Т0ВУ, построенного по принципу n+1, не превышает двух раз. Реально же своевременная замена отказавшего модуля достигается, если имеется местная индикация о наличии напряжения на выходе модуля и дистанционная сигнализация оператору об отказе.

Для создания мощных (до 12 кВт) модульных ВУ на предприятии АЭИЭП разработаны модули серии КЕДР [1], основные параметры которых представлены в таблице 1.

Таблица 1. Основные параметры модулей серии «Кедр»

Наименование Мощность, Вт Uвх, В Uвых, В Iвых.макс, А Кол-во вых. каналов Габаритные размеры, мм Масса, кг
KD900A-CN1 900 ~115; ~220; ~380 24; 27; 48; 60 (24–60) 42 1,2 280x170x58 3
KD1200A-CL 1200

1 — буквы CL в конце обозначения указывают на рабочий температурный диапазон –10…+70 °С, буквы CN указывают на температурный диапазон –40…+70 °С


Рис. 2

Модули базируются на полумостовом преобразователе, работающем на частотах порядка 50–75 кГц с ШИМ-стабилизацией выходного напряжения, они имеют полный комплект защит — от перегрузки, короткого замыкания, перегрева, превышения выходного напряжения (все защиты самовосстанавливающиеся). Кроме того, они снабжены функцией дистанционного включения-выключения, имеют возможность параллельного соединения, компенсацию выходного напряжения в зависимости от нагрузки (выносную ОС), регулировку выходного напряжения, дополнительный выход питания вентилятора охлаждения (табл. 2).

Таблица 2. Технические характеристики модулей питания «Кедр»

Параметры Условия измерения Мин. Тип. Макс. Единицы измерения
Общие характеристики
Частота преобразования Uвх.ном, Iвых.ном   75   кГц
Прочность изоляции Вход/выход,
вход/корпус перемен. ток 50 Гц, ампл.
Выход/корпус перемен. ток 50 Гц, ампл.
1500
500
500
    В
Сопротивление изоляции Вход/выход, вход/корпус,
выход/корпус 500 В пост. тока
20     МОм
Температура корпуса модуля Uвх.ном, Iвых.ном – CL
– CN
–10
–40
  +70
+70
°С
°С
Повышенная влажность Токр = 25 °С     93–95 %
Наработка на отказ Ткорп = 70 °С – CL
– CN
50
100
    тыс.час
Охлаждение естественная конвекция или вентилятор
Материал корпуса металл
Входные характеристики
Диапазон входного напряжения Ткорп.мин…Ткорп.макс, при Iвых.ном ~80
~187
~115
~220
~138
~242
В
В
Частота питающей сети (AC/DC) Uвх.ном, Iвых.ном 45   440 Гц
Выходные характеристики
Нестабильность выходного напряжения Iвых.мин…Iвых.ном, Uвх.мин…Uвх.макс     ±3 %
Минимальная нагрузка Uвх.мин…Uвх.макс для одноканального модуля 10     %
Суммарная нестабильность выходного напряжения Iвых.мин…Iвых.ном, Uвх.мин…Uвх.макс, Ткорп.мин…Ткорп.макс для одноканального, 1-го канала     ±3 %
Размах пульсаций (пик-пик) Iвых.мин…Iвых.ном, Uвх.мин…Uвх.макс, Ткорп.мин…Ткорп.макс     2 %
КПД Uвх.ном, Iвых.ном   85   %
Сервисные функции и защиты
Параллельная работа Для параллельной работы нескольких модулей на общую нагрузку выводы «Пар.» модулей должны быть соединены в одной точке.
Дистанционное включение-выключение Дистанционное включение модулей должно производиться снятием с выводов «УПР» напряжения 3,5–4,5 В от независимого источника. Ток потребления от источника – не более 40 мА.
Индикация Непрерывное горение красного светодиода указывает наличие напряжения на выходе. При срабатывании защит светодиод мигает.
Регулировка выходного напряжения В пределах ±10% от Uвых.ном. Осуществляется подсоединением внешних резисторов между выводами Рег. и +ВЫХ1, Рег. и –ВЫХ1.
Выход питания вентилятора 12 В 200 мА
Тепловая защита Срабатывает при температуре корпуса 85°С, модуль восстанавливает свою работоспособность при снижении температуры на корпусе.
Защита от превышения выходного напряжения Срабатывает при увеличении выходного напряжения выше 1,15хUвых.ном.. Предназначена для защиты оборудования в случае обрыва обратной связи в модуле питания.
Защита от перегрузки по току Начинает срабатывать при 1,0–1,35хIвых.ном.
Защита от короткого замыкания Длительная, модуль восстанавливает свою работоспособность при устранении КЗ.

Конструкция модулей представляет собой разборный металлический корпус, внутри которого размещена печатная плата с элементами поверхностного монтажа. В аппаратуре модули могут устанавливаться на радиатор охлаждения или другую теплоотводящую поверхность. В корпусе для крепления предусмотрены резьбовые втулки.

Габаритные чертежи и таблица выводов модуля KD1200 изображены на рис. 3.



Рис. 3

Как видно из таблицы 2, типовой КПД модулей питания серии «Кедр» составляет 85%. Зависимость изменения коэффициента полезного действия от нагрузки показана на рис. 4.

Зависимость КПД от мощности
Рис. 4. Зависимость КПД от мощности

Максимальный КПД модуля достигается на нагрузках (0,7ё0,8)xIном., поэтому рекомендуемый коэффициент загрузки составляет 0,7.

При разработке модуля основное внимание уделялось вопросам подавления радиопомех и обеспечения параллельной работы.

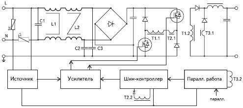
На структурной схеме (рис. 5) выделены специально разработанные фильтры подавления радиопомех и устройства, отвечающие за параллельную работу модуля, предназначенного для мощных выпрямителей.

Структурная схема модуля KD 1200
Рис 5. Структурная схема модуля KD 1200

Модуль KD1200, имея высокие энергетические и массогабаритные показатели, одновременно является мощным генератором радиопомех, который заметно ухудшает электромагнитную обстановку. Чтобы уменьшить помехи, для модуля разработаны фильтры радиопомех (ФРП). Особенное внимание уделялось сетевому ФРП, т. к. помехи по входу модуля значительно превышали допустимые, определяемые Нормами по ГОСТ В 25803-91.

В KD1200A встроен высокоэффективный ФРП, разработанный для модуля защиты и фильтрации МРР3-С7,5АМУ [2]. В ФРП использованы новые материалы и элементная база, что позволило повысить коэффициент подавления радиопомех и уменьшить габариты. Разработка выполнена совместно с сотрудниками одной из первых в России испытательных лабораторий технических средств по параметрам электромагнитной совместимости (ЭМС) 16 ЦНИИИ МО РФ.

ФРП состоит из двух Г-образных LC звеньев, в которых одно звено подавляет помехи по симметричному пути, другое — по несимметричному. Фильтр по такой схеме длительное время используется в технике специальной связи (более 20 лет) для подавления помех в сетях переменного тока и при заданном коэффициенте подавления радиопомех обеспечивает минимальные токи утечки на корпусе.

Модули питания KD1200A были проверены в испытательной лаборатории технических средств по параметрам ЭМС. Измеренный уровень помех на входе модуля питания с ФРП показан на рис. 6, кривая 2. Помехи на входе модуля питания не превышают значений, определяемых графиком 2 (рис. 6, кривая 1).

График напряжения радиопомех
Рис. 6. График напряжения радиопомех

Для защиты модуля от выбросов напряжения в сетевых проводах на входе установлен варистор R1 (рис. 5), ограничивающий напряжение до уровня 420 В. В соответствии с ГОСТ В24425-90, это напряжение было измерено при воздействии импульса амплитудой 1000 В длительностью 10 мкс, при этом внутреннее сопротивление генерирующего импульсы источника составляет 50 Ом.

С целью обеспечения параллельной работы, использовано схемотехническое решение, обеспечивающее принудительное равномерное распределение тока нагрузки между модулями [2], которое хорошо себя зарекомендовало при выравнивании токов модулей мощностью десятки ватт.

Мощные блоки электропитания и выпрямителиМощные блоки электропитания и выпрямители
Мощные блоки электропитания и выпрямители
Рис. 7. Мощные блоки электропитания и выпрямители

Испытания показали, что модули серии «Кедр» допускают параллельное соединение по выходу (до 12 модулей) при работе на общую нагрузку и обеспечивают наращивание мощности вплоть до 12 кВт.

На основе модуля KD1200 предприятие выпускает мощные блоки электропитания VZ, DB мощностью 1200 Вт и BR мощностью 2000 Вт со встроенными вентиляторами. В источники по требованию заказчика устанавливаются корректор коэффициента мощности, обеспечивающий коэффициент мощности 0,96. Конструктивно блоки VZ (габариты 410x225x200 мм) и BR (382x230x210 мм) выполнены в металлическом корпусе с резьбовыми опорами для установки в аппаратуру.

Входное напряжение подается через сетевой шнур, выходные напряжения и команды дистанционного включения выведены на клеммную колодку. На передней панели установлены контакторы включения, светодиод «Работа», потенциометр регулирования выходного напряжения.

В состав модульного выпрямителя ВУ-3000, который имеет резервирующую мощность 2000 Вт, полную — 3000 Вт входят (рис. 8):

  • 3 блока питания на основе модуля KD1200.
  • блок включения, коррекции и контроля.

Структурная схема ВУ-3000
Рис. 8. Структурная схема ВУ-3000

Конструкция выпрямителя (размеры 412x300x238 мм) мощностью 3 кВт представляет собой полку, в которую вставляются три блока питания и блок включения, коррекции коэффициента мощности и индикации. Конструкция обеспечивает установку ВУ на горизонтальную поверхность (пол, стол) через амортизаторы, на стену с помощью кронштейнов, в 19-дюймовую стойку на уголках. В стойку могут быть установлены до 4 ВУ-3000, которые обеспечат полную выходную мощность 12 кВт, резервируемую — 11 кВт.


Рис. 9

Основные эксплуатационные характеристики модульного выпрямителя приведены в таблице 3.

Таблица 3. Эксплуатационные характеристики ВУ-3000

Наименование параметра Значение параметра
Диапазон рабочей температуры окружающей среды, °С –10…50
Допустимая относительная влажность окружающей среды при температуре 25 °С, % 98
Остальные климатические и механические характеристики по ГОСТ В 20.39.304-98 Группа 1.1, 1.3 УХЛ
Степень защиты по ГОСТ 14254.80 IP30
Класс защиты по ГОСТ 12.2.007.0.75 (электробезопасность) I
Время наработки на отказ
полная мощность
резервируемая

25x103
15x106
Срок службы ВУ, не менее, лет 10

Для особо жестких и специальных применений выпускаются блоки на основе модулей в цельнометаллических корпусах с заливкой полимерным теплоотводящим компаундом. Название модулей в данном исполнении — МАА900-СКН. Модули рассчитаны на температурный диапазон — 40…+85 °С. Поставка опытных образцов с приемкой «5» модулей МАА900-СКН ведется по техническим условиям БКЮС.436610.007 ТУ.

Литература

  1. Каталог продукции «Александер Электрик источники электропитания» на диске, осень 2005.
  2. Твердов И. В., Мартиросов А. Г., Затулов С. Л. Модернизация сетевых фильтров радиопомех на предприятии «Александер Электрик источники электропитания». — Электронные компоненты. 2005. № 8.
  3. Твердов И. В., Нагайцев А. Н., Сагайдаков Н. И. Параллельное включение модулей питания предприятия «Александер Электрик источники электропитания». — Электронные компоненты. 2005. № 9.
  4. Колосов В. А. Электропитание стационарной РЭА. М. Радио и связь, 1992.

И. ПЛОТКИН, А. НАГАЙЦЕВ, И. ТВЕРДОВ, к. т. н.


Статьи по: ARM PIC AVR MSP430, DSP, RF компоненты, Преобразование и коммутация речевых сигналов, Аналоговая техника, ADC, DAC, PLD, FPGA, MOSFET, IGBT, Дискретные полупрoводниковые приборы. Sensor, Проектирование и технология, LCD, LCM, LED. Оптоэлектроника и ВОЛС, Дистрибуция электронных компонентов, Оборудование и измерительная техника, Пассивные элементы и коммутационные устройства, Системы идентификации и защиты информации, Корпуса, Печатные платы

Design by GAW.RU