|
Программа SemiSel — «скорая помощь» разработчику
Расчет тепловых режимов работы силового каскада является одним из важнейших этапов процесса разработки, который позволяет подтвердить правильность выбора и применения электронного компонента и во многом определяет надежность работы устройства. В статье описаны основные особенности наиболее совершенной сегодня программы теплового расчета SemiSel.
Постоянное ценовое давление рынка и стремление к повышению эффективности преобразовательных устройств сделали выбор элементной базы одним из самых ответственных этапов проектирования. Не менее ответственной фазой разработки является расчет тепловых режимов, важность которого обусловлена непрерывным увеличением плотности мощности.
Растущее многообразие решений, применяемых в силовой электронике, и специализация типов компонентов привели к тому, что сравнение близких по назначению силовых модулей на основании только справочных данных стало серьезной проблемой. Предельные значения тока и напряжения транзистора или модуля, обычно вынесенные в заголовок технических характеристик, не дают разработчику никаких данных для расчета, а лишь позволяют в первом приближении сравнить один элемент с другим. Сложность выбора компонента заключается и в том, что желательно максимально использовать его мощностные характеристики, чтобы не платить лишних денег за неоправданный запас по мощности.
Проектирование силового каскада является сложным и ответственным процессом, требующим от современного разработчика большого объема знаний и опыта. Автоматизированные средства, позволяющие решать большинство поставленных задач, способны оказать неоценимую помощь при разработке и свести к минимуму ошибки проектировщика.
Что такое SemiSel?
Тенденции современного рынка силовой электроники — сокращение сроков проектирования, рост мощностей и усиление требований по надежности — делают невозможным процесс разработки без специализированного программного обеспечения.
Программы для расчета режимов работы мощных преобразовательных устройств предлагаются практически всеми основными производителями силовых модулей, наиболее популярные компьютерные средства разработки доступны на сайтах компаний SEMIKRON, EUPEC/Infineon, Mitsubishi. Как правило, данные программы предназначены для расчета мощности потерь и температуры перегрева, с их помощью разработчик может с различной степенью достоверности выбрать силовой ключ на основании заданных режимов работы.
Компания SEMIKRON предложила для массового применения свою программу автоматизированного расчета и выбора компонентов SemiSel [1] раньше своих конкурентов. Первый вариант программы появился на сайте фирмы в 2001 году, и с тех пор SemiSel постоянно совершенствуется, обновляется, пополняется ее база данных.
Сказанное подтверждается таблицей 1, в которой приведены основные возможности и сравнительные характеристики наиболее популярных средств проектирования. С появлением последней версии SemiSel V3.0, она стала пригодной для моделирования тепловых режимов любых силовых ключей на основании их технических характеристик. Таким образом, был устранен основной аргумент скептиков, утверждающих, что программу можно использовать только для расчета схем, построенных на компонентах SEMIKRON.
Таблица 1. Характеристики программ теплового расчета
| Производитель |
SEMIKRON |
EUPEC |
Mitsubishi |
| Программа |
SemiSel V3.0 |
IPOSIM 6 |
MelcoSim V3.00 |
| Тип анализируемой схемы |
3-фазный инвертор, полумост, полный мост, чопперы, выпрямители (управляемые и неуправляемые) |
3-фазный инвертор |
3-фазный инвертор, полный мост, чопперы |
| Ввод исходных данных: рабочей частоты, напряжения шины, выходного напряжения, выходного тока |
+ |
+ |
+ |
| Расчет пиковой температуры кристаллов и элементов модуля |
+ |
+ |
- |
| Построение графиков |
+ |
+ |
+ |
| Учет длительности и коэффициента перегрузки |
+ |
- |
- |
| Учет перегрузки при пусковых режимах и частотном регулировании |
+ |
+ |
- |
| Динамический анализ режима перегрузки |
+ |
- |
- |
| Расчет рабочего цикла, заданного пользователем |
+ |
+ |
- |
| Ввод поправочных коэффициентов для расчета потерь |
+ |
- |
- |
| Учет зависимости энергии потерь от резистора затвора |
- |
+ |
+ |
| Выбор способа охлаждения и ввода параметров режима охлаждения |
+ |
- |
- |
| Возможность описания параметров теплостока |
+ |
- |
- |
| Учет количества модулей, установленных на радиаторе, и количества параллельно соединенных модулей |
+ |
- |
- |
| Учет дополнительного источника тепла на теплостоке |
+ |
- |
- |
| Расчет параметров устройства управления (драйвера) |
+ |
- |
- |
SemiSel, on-line версия которой доступна на сайте www.semikron.com, может быть использована для анализа практически всех используемых конфигураций схем в реальных условиях эксплуатации. Последние варианты SemiSel способны помочь разработчику практически на всех этапах проектирования, включая выбор драйвера, расчет режимов его работы, а также оптимизацию охлаждающей системы любого типа или моделирование заданного рабочего цикла.
В первую очередь программа предназначена для решения следующих задач:
- оптимальный выбор силового ключа для заданной конфигурации схемы и условий эксплуатации;
- сравнение эффективности работы различных компонентов, поиск замены;
- достижение оптимальной технической и экономической эффективности, нахождение оптимального соотношения основных электрических характеристик (частоты переключения, эффективности системы охлаждения, перегрузочной способности и т. п.);
- оценка запаса надежности по предельным режимам.
Как и любой специализированный продукт, использующий упрощенные алгоритмы для ускорения вычислений и работающий в интерактивном режиме, SemiSel имеет определенную специфику. Основные преимущества и ограничения подобных online программ по сравнению с вычислительными средствами типа Excel или математическими коммерческими программами, такими как MatLab, приведены в таблице 2.
Таблица 2. Основные преимущества и ограничения различных средств расчета
| Преимущества |
Ограничения |
| Высокая доступность on-line версий |
Ограниченное количество рассматриваемых приложений и схем |
| Высокая скорость работы благодаря нахождению аналитических решений в виде периодических функций и применению моделей на основе усредненных значений |
Невозможность расчета временных функций тока и напряжения. Вычисляются усредненные значения периодических функций |
| Постоянная поддержка и обновление баз данных |
Упрощенное моделирование: использование аппроксимаций кривых, применение эквивалентных электрических схем для теплового расчета |
| Всесторонняя техническая поддержка пользователей специалистами фирмы, разработчика программы |
Невозможность изменения пользователем алгоритма вычислений |
Однако для расчетов тепловых режимов, основанных на характеристиках элементов, имеющих большой разброс, высокая точность не так важна, как скорость вычислений и простота обращения.
 Рис. 1. Режимы работы SemiSel
С 2005 года на сайте SEMIKRON работает новая версия программы V3.0, исходное меню которой показано на рис. 1. В усовершенствованном варианте SemiSel получила несколько новых опций, кроме того, повышена точность расчетов за счет следующих доработок:
- при расчете режима перегрузки на низких частотах огибающей коэффициент коррекции вычисляется для каждого типа модуля в зависимости от его теплового сопротивления;
- частота коммутации для интеллектуальных силовых модулей ограничена на уровне справочных значений;
- при использовании опции user defined load cycle (рабочий цикл, определенный пользователем) на порядок повышено количество итераций;
- программа обслуживается новым скоростным сервером.
Кроме указанных дополнений программа обрела чрезвычайно полезную и информативную возможность построения следующих графиков:
- Iout = f(fsw) — зависимость выходного тока от частоты ШИМ;
- Pv = f(Iout) — зависимость мощности потерь от выходного тока;
- TJ = f(Iout) — зависимость температуры кристалла от выходного тока;
- Pv = f(fsw) — зависимость мощности потерь от частоты ШИМ;
- TJ = f(fsw) — зависимость температуры кристалла потерь от частоты ШИМ.
Ввод исходных данных
Программа SemiSel предлагает пользователю несколько режимов работы, включающих тепловой расчет, выбор силового ключа (Device Proposal) или готовой сборки (StackSel), выбор и расчет режимов работы драйвера (DriverSel). Самым важным этапом проектирования является расчет потерь мощности и температуры перегрева, в интернетовской версии он носит название Step by Step Design. Стартовое меню SemiSel, включающее все доступные варианты вычислений, показано на рис. 1.
Независимо от выбранного режима, первым шагом при работе с программой является выбор конфигурации устройства и типа схемы, а также ввод рабочих режимов, как показано на рис. 2. Обратите внимание, что на данном этапе указываются не только номинальные, но и пиковые характеристики (для инвертора привода это ток и длительность перегрузки и минимальная частота выходного сигнала), для которых будет осуществляться расчет перегрузочных режимов с учетом динамического теплового импеданса. Естественно, что для правильного задания исходных данных, получения корректных результатов и их грамотной оценки пользователь должен достаточно хорошо представлять себе задачу, понимать физический смысл параметров и систему их обозначений, что немыслимо без определенного инженерного опыта. Однако это несоизмеримо с той массой знаний, которую необходимо иметь разработчику для «ручного» расчета режимов работы схемы.
 Рис. 2. Выбор конфигурации и типа схемы (здесь — 3-фазный инвертор), окно ввода исходных данных
SemiSel позволяет осуществлять расчет для следующих конфигураций схем:
- AC/DC
- B2U — однофазный выпрямительный мост;
- B2H — однофазный тиристорный мост с управлением в верхнем плече;
- В2С — однофазный полностью управляемый тиристорный мост;
- B6U — трехфазный выпрямительный мост;
- B6H — трехфазный тиристорный мост с управлением в верхнем плече;
- В6С — трехфазный полностью управляемый тиристорный мост.
- AC/АC
- W1C — тиристорный ключ;
- W1C — трехфазный тиристорный ключ.
- DC/АC
- Inverter_1_phases — полный мостовой каскад (в режиме разрывного и непрерывного тока);
- Inverter_3_phases — 3-фазный инвертер.
- DC/DC
- Buck — чоппер верхнего плеча;
- Boost— чоппер нижнего плеча.
После определения режимов работы устройства (окно ввода параметров схемы circuit parameter показано в правой части рис. 2) необходимо выбрать конструктив и конкретный тип элемента из ниспадающего меню, приведенного на рис. 3. Как и любой аналогичный программный продукт, программа SemiSel решает маркетинговые задачи, поэтому выбор производится из номенклатуры компонентов, производимых SEMIKRON.
 Рис. 3. Выбор типа элемента из ниспадающего меню
Однако если пользователь отметит строку Create User Defined Device, ему будет предложено описать параметры силового ключа, на основании которых и будет производиться дальнейший расчет. В этом меню можно также задать расчет на основе номинальных или максимальных характеристик элементов (Use Typical Values/Use Maximum Values) и определить корректирующие коэффициенты для вычисления динамических потерь транзисторов и диодов (Correction Factor of Switching Losses). Последняя возможность бывает очень полезна, если преобразователь работает не в режиме «жесткой» коммутации, и значение энергии потерь включения или выключения отличается от справочного.
Заключительной фазой формирования данных, необходимых для расчета, является выбор способа охлаждения (естественная вентиляция, воздушное или жидкостное принудительное охлаждение) и типа радиатора.
На этом этапе пользователю также необходим некоторый опыт и знания, например, он должен хорошо представлять себе зависимость теплового сопротивления радиатора от количества установленных на нем модулей. Грамотные специалисты, работающие в области силовой электроники, знают, что тепловое сопротивление радиатора Rthsa приводится в технических характеристиках для случая, когда тепло равномерно распределяется по поверхности теплоотвода. При установке на радиатор одного модуля, площадь основания которого значительно меньше «посадочной» площади радиатора, значение Rthsa может оказаться гораздо выше заявленного.
К счастью, ведущие производители компонентов силовой электроники (и среди них SEMIKRON) приводят в спецификациях теплоотводов семейство графиков зависимости теплового сопротивления от скорости потока воздуха для различного количества модулей. Любые отличия электрических и тепловых параметров от их номинальных значений в SemiSel можно задавать с помощью поправочных коэффициентов (Correction Factor).
Расчет мощности потерь
1. Номинальный режим работ
Для ускорения достаточно сложных вычислений, каковыми являются многовариантные расчеты тепловых характеристик, программа конвертирует характеристики, заданные для схемы, в параметры каждого отдельного компонента. Для описания элементов применяются упрощенные функции или аппроксимации. Например, прямая характеристика силового ключа или диода заменяется кусочно-ломаной линией, точки перегиба на которой определяются пороговым напряжением V0 и динамическим сопротивлением rf. Для экстраполяции графиков потерь переключения используются простые экспоненциальные функции. Как и другие подобные средства вычисления, SemiSel использует аналитический подход к вычислению потерь мощности PV, которые определяются как временной интеграл от произведения тока и напряжения [2].

Несложные преобразования этой формулы позволяют получить базовое выражение для расчета потерь мощности:

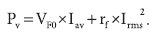
Первое слагаемое представляет собой мощность потерь переключения Psw, второе и третье — это потери проводимости Pcond. Первая составляющая статических потерь зависит от среднего значения тока Iav, вторая определяется среднеквадратическим током силового ключа Irms. Потерями мощности в закрытом состоянии, определяемыми токами утечки, можно пренебречь. В простейшем случае, при расчете выпрямителя, работающего на сетевой частоте 50 Гц, можно пренебречь и динамическими потерями, при этом в сумме остается только два слагаемых:

В инверторе IGBT, работающем в ШИМ-режиме с синусоидальной модуляцией, существенный вклад вносят динамические потери, в таком устройстве необходимо учитывать и фазовый угол. Формулы для вычислений статических и динамических потерь за период огибающей в этом случае выглядят несколько сложнее:

где М — коэффициент модуляции, cos(j) - фазовый угол между током и напряжением, I1 — амплитуда первой гармоники тока инвертора, KV — корректирующий коэффициент, учитывающий соотношение рабочего и номинального напряжения, при котором нормируется энергия потерь.
В результате вычислений мы получаем среднее значение мощности потерь силового ключа. На их основе определяется температура кристаллов силовых ключей Tj, эти значения являются главным критерием правильности выбора элементов, на основании полученных данных можно оценить запас по предельным режимам и спрогнозировать показатели надежности. Для этого тепловая модель ключа заменяется эквивалентной электрической схемой, на которой все тепловые переходы модуля представлены в виде RC-цепочек, где R является тепловым сопротивлением, а С — теплоемкостью определенного элемента конструкции. Источники тепла на электрической схеме заменяются источниками тока, а базовые значения температуры (например, Та — температура окружающей среды) — источниками напряжения.
Таблица 3. Соответствие тепловых и электрических параметров
| Электрические параметры |
Ед. изм |
Термодинамические параметры |
Ед. изм |
| Заряд Q |
K |
Тепловая энергия Qth |
Дж |
| Ток I |
A |
Тепловой поток P |
Вт |
| Напряжение U |
В |
Разность температур DT |
°C |
| Сопротивление R |
Ом |
Тепловое сопротивление Rth |
°C/Вт |
| Емкость С |
Ф |
Теплоемкость Cth |
Дж/°C |
Эквивалентные тепловые и электрические параметры приведены в таблице 3. Основными элементами конструкции модуля, перегрев которых определяется в процессе моделирования, являются кристалл (j — junction), корпус (c — case), теплоотвод (s, h — sink, heatsink или f — fin). Расчет температуры кристалла IGBT Tj_IGBT будет производиться в соответствии со следующим выражением:

где Pv_n — суммарная мощность потерь всех элементов, установленных на общем радиаторе.
Большая часть параметров, используемых для расчета мощности потерь, является температурно-зависимой. Данный факт, кстати, служит основным источником погрешностей при «ручном» анализе температуры перегрева. Для исключения ошибок вычислений, вызванных этим фактором, в SemiSel потери мощности и температура элементов конструкции определяются с помощью цикла итерации, показанного на рис. 4. Это позволяет учесть все тепловые эффекты, влияющие на нагрев: температурную зависимость параметров, взаимное тепловое влияние, а также так называемый эффект саморазогрева. После расчета начальных значений потерь и температуры тепловых переходов, определяемой относительно температуры окружающей среды Та, производится коррекция полученных значений с учетом тепловых коэффициентов.
 Рис. 4. Цикл итерации, используемый для расчета мощности потерь и температуры перегрева
Далее расчет повторяется, и новые, более точные результаты снова корректируются.
Для достижения установившихся значений используется от 1 до 10 циклов итерации, как правило, достаточно точные результаты получаются уже после 3–4 циклов.
2. Режим перегрузки
Расчет номинальных режимов и номинальных температур является базовым для оценки состояния перегрузки, который часто оказывается для разработчика гораздо более важным, так как он оказывает наибольшее влияние на надежность работы устройства.
Расчет предельных режимов в SemiSel производится для двух случаев, определяемых в окне overload parameter (рис. 2), — это перегрузка по току, заданная коэффициентом и длительностью режима (factor, duration), и перегрев, обусловленный низкой частотой выходного напряжения (min output frequency).
Естественно, что увеличение тока нагрузки приводит к росту потерь и повышению температуры кристалла. Наибольший интерес в данном случае представляет оценка динамики этого процесса, так как перегрузка носит кратковременный характер, и температура Tj не успевает достичь установившегося значения. Для расчетов, когда параметры токовой перегрузки задаются в виде коэффициента и длительности, температура кристалла вычисляется по приведенной выше формуле, в которой тепловое сопротивление Rth заменяется на динамический тепловой импеданс Zth, что позволяет получить мгновенное значение Tj в зависимости от длительности режима.

Импульс перегрузки разбивается программой на некоторое количество временных интервалов. Для каждого интервала производятся расчеты с использованием нескольких циклов итерации, как было описано выше.
Начальной температурой в каждой точке является значение, определенное на предыдущем интервале. В результате программа формирует временной график, показывающий изменение температуры кристалла в течение времени перегрузки.
Как было указано выше, у инверторов, используемых в асинхронных приводах, критическим состоянием является режим пуска с нулевой частоты или регулирование на низких частотах. Уменьшение частоты огибающей неизбежно приводит к увеличению температуры радиатора относительно среднего значения, несмотря на то, что среднее значение потерь может быть таким же, как в номинальном режиме. Причиной этого является то, что тепловая постоянная времени силовых модулей (как правило, она несколько меньше 1 с) гораздо больше периода выходного напряжения инвертора на номинальных частотах. Таким образом, пульсации температуры на корпусе модуля сглаживаются за счет его высокой теплоемкости. Например, на частоте 50 Гц разница между расчетными значениями средней и максимальной температуры Tc не превышают единиц °С. В диапазоне низких частот (< 2…5 Гц) тепловой инерции корпуса модуля и теплоотвода уже не хватает, чтобы усреднить перепады температуры при работе оппозитных ключей.
В результате температура кристалла Tj изменяется практически синхронно с изменением рассеиваемой мощности, как показано на рис. 5а. При этом девиации температуры относительно среднего значения уже могут достигать десятков градусов. Для учета этого эффекта при вычислении температуры перегрева в SemiSel используются частотно-зависимые коэффициенты коррекции, позволяющие рассчитать отношение предельного значения градиента температуры «кристалл–теплосток» dTj-s к его среднему значению dTj-s(av) в зависимости от частоты выходного напряжения.
 Рис. 5. а) Колебания температуры кристалла относительно среднего значения при разных частотах Fout, б) нормированная кривая изменения тока при пуске асинхронного двигателя
Предельным состоянием в описываемом случае является пуск привода с нулевой частоты. На самом деле ситуации, когда fout = 0, не существует, поскольку даже у первого колебания выходного напряжения есть период Т1 конечной длительности. Соответственно стартовая частота должна определяться как fout = 1/Т1, при этом Т1 может быть намного больше тепловой постоянной времени всей системы. Проблемы оценки данного режима связаны как с низкой корректностью стандартных формул теплового расчета инвертора, так и с тем, что программа предполагает более-менее равномерное распределение тепла по поверхности теплоотвода. Однако при очень низких частотах может оказаться, что 1 из 6 ключей инвертора является основным источником потерь, работающим практически на постоянном токе.
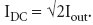
Выход из создавшейся ситуации довольно прост: при анализе режима пуска с нулевой частоты следует заменить схему 3-фазного инвертора на схему чоппера в понижающем преобразователе (step-down converter), как показано на рис. 6. При этом ток транзистора чоппера IDC рассчитывается исходя из соотношения: Нормированная кривая изменения тока инвертора при пуске привода показана на рис. 5б. В приведенном примере период первого колебания T1 = 14,2 мс, что соответствует стартовой частоте fout = 3,5 Гц, несмотря на то, что запуск привода осуществляется из неподвижного состояния.
 Рис. 6. Замена 3-фазного инвертора на чоппер при анализе пусковых режимов
3. Рабочий цикл
Несомненным преимуществом SemiSel по сравнению с аналогичными программными продуктами является возможность анализа произвольно заданного цикла работы.
При этом нас интересуют не только перегрузочные режимы и максимальный перегрев, но и разница температур при полной нагрузке и ее отсутствии. Именно эти градиенты температуры образуют так называемые термоциклы, вызывающие старение элементов конструкции модуля и оказывающие основное влияние на их срок службы.
На рис. 7 показан пример цикла работы инвертора привода лифта, состоящий из 4 этапов: запуск, режим работы с постоянной скоростью, торможение, остановка. Значения тока Iout, напряжения Vout и фазового угла cos(j) для каждого из участков цикла в точках изменения режима задаются в соответствующих ячейках таблицы, приведенной в правой части рис. 7. При расчете программа использует линейную интерполяцию между заданными точками, вычисления мощности потерь и температуры перегрева осуществляются так же, как и в режиме перегрузки по току. Как
видно из графика, в процессе работы привода токовая перегрузка происходит в фазах разгона и торможения. Отличительной особенностью фазы торможения является изменение направления тока (изменение знака фазового угла), при этом инвертор работает как выпрямитель, возвращая энергию в сеть.
 Рис. 7. Задание режимов работы инвертора привода
Результаты расчетов
На рис. 8 представлены результаты расчетов тепловых режимов, выполненных для инвертора мощностью 60 кВт с принудительным воздушным охлаждением. Анализ производится для следующих условий эксплуатации:
- выходной ток Iout — 100 A;
- выходное напряжение Vout — 400 В;
- частота коммутации fsw — 8 кГц;
- cos(j) - 0,85;
- используемый модуль IGBT — SEMiX 553GB128D.
Значения температуры перегрева представлены в виде временных функций, на рис. 8 использованы следующие обозначения:
- Th (красный) — температура радиатора;
- Тс (зеленый) — температура корпуса модуля;
- TTr (синий) — температура кристалла IGBT;
- TD (лиловый) — температура антипараллельного диода.
 Рис. 8. Результаты моделирования динамических тепловых режимов: а) кривая изменения температуры элементов инвертора в режиме перегрузки; б) кривая изменения температуры при анализе рабочего цикла
Кривые на рис. 8а показывают изменение температуры в режиме двойной перегрузки длительностью 4 с при частоте огибающей fout = 2 Гц. Графики позволяют определить, что температура наиболее нагретого кристалла IGBT не превышает в номинальном режиме значения 85 °С, а в режиме перегрузки 120 °С, то есть инвертор работает в безопасном тепловом режиме. Дополнительный запас по надежности обеспечивается потому, что при расчетах были использованы предельные характеристики элементов.
Температурные графики, соответствующие рабочему циклу для тех же условий эксплуатации, приведены на рис. 8б. Цикл состоит из фаз ускорения и торможения с одинаковой длительностью 4 с. Показанные эпюры позволяют рассчитать, что градиент составляет 48 °С при среднем значении температуры, равном 79 °С. В соответствии с исследованиями зависимости количества термоциклов до отказа от перепада температуры и ее среднего значения, проводимыми по программе LESIT [4, 5], для модулей стандартной конструкции с медной базовой платой оценочное количество термоциклов для указанного режима эксплуатации составляет 700 000.
После получения результатов расчетов, показывающих, как будут вести себя компоненты инвертора в номинальном состоянии, при перегрузке и циклическом изменении нагрузки, можно попытаться оптимизировать режимы или заменить силовой модуль. Главным критерием является, как правило, экономическая эффективность и надежность. Естественно, что в первую очередь должны быть устранены опасные перегрузочные состояния (например, если температура кристаллов превышает 155 °С) и произведена оценка срока службы при воздействии термоциклов. При этом выбранный силовой модуль должен иметь минимальную стоимость и обеспечивать требуемые конструктивные параметры. При пользовании SemiSel процесс оптимизации становится достаточно простой процедурой: программа позволяет изменять любые начальные условия, типы элементов, режимы охлаждения и мгновенно получать скорректированные результаты вычислений.
Заключение
Давно прошли времена, когда выбор силового ключа осуществлялся на основании его номинального тока, а для повышения надежности рекомендовалось использовать двойной запас по мощности. Цель современного разработчика — обеспечение высокой надежности при использовании предельных режимов работы компонентов плюс минимальные сроки проектирования. Решение этой задачи немыслимо без специализированного программного обеспечения, призванного максимально упростить и автоматизировать процесс проектирования, устранить возможные ошибки, оптимизировать выбор элементной базы.
Одной из самых интересных программ, предназначенных для расчета режимов работы компонентов силовой преобразовательной техники, является программа SemiSel, разработанная специалистами компании SEMIKRON. Среди аналогичных продуктов других производителей SemiSel следует признать наиболее автоматизированной, точной и простой в использовании программой, так как она пригодна для анализа большинства существующих практических схем, позволяет оптимально выбрать режимы работы и условия охлаждения и требует от пользователя ввода только числовых исходных данных. Удобный интерфейс, пояснения, приведенные для всех режимов работы, позволяют использовать программу разработчикам средней квалификации.
Единственное, о чем не следует забывать, так это то, что компьютер не способен заменить голову разработчику, его знания и опыт в любом случае остаются самыми главными составляющими процесса проектирования. Специализированное программное обеспечение — это прежде всего очень хороший инструмент для грамотного инженера.
Оно помогает избежать множества ошибок, быстро проанализировать различные варианты схемы и выбрать из них лучший, а также сократить время разработки и на порядок повысить ее качество.
Постоянные клиенты SEMIKRON могут получить локальные версии SemiSel у официальных дистрибьюторов и в центрах технической поддержки компании в Санкт-Петербурге и Новосибирске.
Литература
- Wintrich A. Free help with your converter design. Semikron Elektronik. 2006.
- Srajber D., Lukasch W.. The calculation of the power dissipation for the IGBT and the inverse diode in circuits with sinusoidal output voltage. Semikron Elektronik. 1996.
- Freyberg M., Scheuermann U. Measuring Thermal Resistance of Power Modules. PCIM Europe journal. 2003.
- Колпаков А. И. Обеспечение надежности силовых IGBT модулей // Электронные компоненты. 2003. № 4.
- Колпаков А. И. Методы оценки надежности IGBT модулей SEMIKRON в предельных режимах // Силовая Электроника. 2004. № 1.
- Колпаков А. И. Программа теплового расчета SemiSel // Компоненты и технологии. 2002. № 9.
- Колпаков А. И. Принципы работы и особенности программы теплового расчета SemiSel // Электронные компоненты. 2004. № 6.
Андрей КОЛПАКОВ
|